Последно актуализиране :
27/11/2025
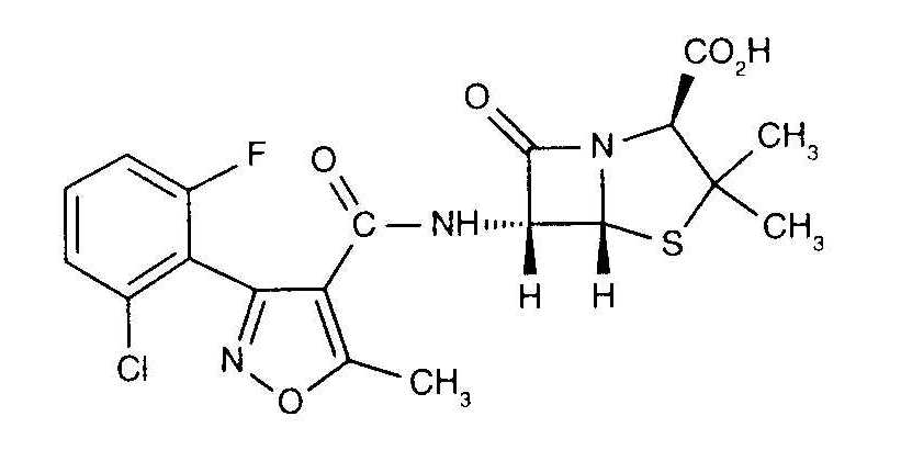
Антибиотик   Flucloxacillin sodium  
Инжекция/Инжекционен
Стабилност на разтвори Стабилност на смеси Фактори, повлияващи стабилността Съвместимост Път на въвеждане Библиография Pdf
   Химична структура  

Търговско наименование   Търговско наименование     

Търговските имена са примерни и съставът на помощните вещества може да бъде различен в зависимост от държавата и лабораториите

Astaph Мароко
Betabiotic Италия
DBL flucloxacillin sodium Австралия
Flix Турция
Floxam Мароко
Floxapen Австрия, Белгия, Италия, Мароко, Полша, Португалия, Саудитска Арабия, Съединени Американски щати / САЩ, Холандия, Швейцария
Flucloxacillin Австралия, Великобритания, Германия, Италия
Flucloxacilline Белгия, Франция, Холандия
Flucloxin нова Зеландия
Ladropen Съединени Американски щати / САЩ
Stafoxil Холандия
Staphylex Германия
Стабилност на разтвори   Инжекция/Инжекционен   Стабилност на разтвори : Flucloxacillin sodium     
Контейнер Разтворител Концентрация Температура Съхранение Продължителност на стабилността Библиография
Стъкло Вода за инжекции 5 mg/ml 2-8°C Защита от светлина
7 Ден
4922
Степен на доказаност D

Стъкло NaCl 0.9% + фенол 0.4% 5 mg/ml 2-8°C Защита от светлина
7 Ден
4922
Степен на доказаност D

Поливинил хлорид Sodium chloride 0,9% 120 mg/ml 2-8°C Не е уточнено
6 Ден
3189
Степен на доказаност D

Поливинил хлорид Sodium chloride 0,9% 20 mg/ml -27°C Защита от светлина
270 Ден
1349
Степен на доказаност D

Поливинил хлорид Sodium chloride 0,9% 5 & 10 & 20 mg/ml 5°C Защита от светлина
21 Ден
1494
Степен на доказаност D

Поливинил хлорид Glucose 5% 20 mg/ml -27°C Защита от светлина
90 Ден
1349
Степен на доказаност D

Полипропилен Sodium chloride 0,9% 10 mg/ml 2-8°C Защита от светлина
14 Ден
1845
Степен на доказаност B+

Полипропилен Sodium chloride 0,9% 10 mg/ml 25°C Защита от светлина
4 Ден
1845
Степен на доказаност B+

шприц полипропилен Вода за инжекции 140 mg/ml 4°C-8°C Защита от светлина
9 Ден
1300
Биологичен анализ

шприц полипропилен Вода за инжекции 5 mg/ml 2-8°C Защита от светлина
2 Ден
4922
Степен на доказаност D

шприц полипропилен NaCl 0.9% + фенол 0.4% 5 mg/ml 2-8°C Защита от светлина
2 Ден
4922
Степен на доказаност D

Полиизопренов еластомер Sodium chloride 0,9% 50 mg/ml 2-8°C Не е уточнено
6 Ден
3189
Степен на доказаност D

Полиизопренов еластомер NaCl 0.9% цитратен буфер 0.3% pH7 10 & 50 mg/ml 2-8°C Не е уточнено
13 Ден
4218
Степен на доказаност A+

Полиизопренов еластомер NaCl 0.9% цитратен буфер 0.3% pH7 10 & 50 mg/ml 32°C Не е уточнено
24 Час
4218
Степен на доказаност A+

Полиизопренов еластомер NaCl 0.9% цитратен буфер 0.3% pH7 5 & 60 mg/ml 2-8°C Защита от светлина
6 Ден
4590
Степен на доказаност A

Полиизопренов еластомер NaCl 0.9% цитратен буфер 0.3% pH7 5 & 60 mg/ml 37°C Защита от светлина
24 Час
4590
Степен на доказаност A

Силиконов еластомер NaCl 0.9% цитратен буфер 0.3% pH7 10 & 50 mg/ml 2-8°C Не е уточнено
13 Ден
4218
Степен на доказаност A+

Силиконов еластомер NaCl 0.9% цитратен буфер 0.3% pH7 10 & 50 mg/ml 32°C Не е уточнено
24 Час
4218
Степен на доказаност A+


  Mentions Légales