viimane versioon :
18/03/2026
antibiootikum   Flucloxacillin sodium  
Süsteravim
Stabiilsus lahustes Stabiilsust mõjutavad tegurid stabiilsust mõjutavad faktorid Sobimatus Manustamis viis Viited pdf
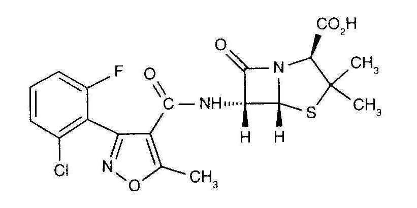
   keemiline struktuur  

Kaubanduslikud nimed erinevates maades   Kaubanduslikud nimed erinevates maades     

Preparaatide nimed on näitlikud ja abianete sisaldus võib erineda sõltuvalt riigist ja laborist

Astaph Maroko
Betabiotic Itaalia
DBL flucloxacillin sodium Austraalia
Flix Türgi
Floxam Maroko
Floxapen Ameerika ühendriigid, Austria, Belgia, Holland, Itaalia, Maroko, Poola, Portugal, Saudi Araabia, Sveits
Flucloxacillin Austraalia, Itaalia, Saksamaa, Suurbritannia
Flucloxacilline Belgia, Holland, Prantsusmaa
Flucloxin uus-Meremaa
Ladropen Ameerika ühendriigid
Stafoxil Holland
Staphylex Saksamaa
Stabiilsus lahustes   Süsteravim   Stabiilsus lahustes : Flucloxacillin sodium     
konteiner lahusti kontsentratsioon temperatuur ladustamine Stabiilsuse kestus Viited
klaas süstevesi 5 mg/ml 2-8°C kaitsta valguse eest
7 päev
4922
Tõenduspõhisuse tase D

klaas NaCl 0.9% + fenool 0.4% 5 mg/ml 2-8°C kaitsta valguse eest
7 päev
4922
Tõenduspõhisuse tase D

polüvinüülkloriid naatriumkloriid 0.9% 120 mg/ml 2-8°C pole täpsustatud
6 päev
3189
Tõenduspõhisuse tase D

polüvinüülkloriid naatriumkloriid 0.9% 20 mg/ml -27°C kaitsta valguse eest
270 päev
1349
Tõenduspõhisuse tase D

polüvinüülkloriid naatriumkloriid 0.9% 5 & 10 & 20 mg/ml 5°C kaitsta valguse eest
21 päev
1494
Tõenduspõhisuse tase D

polüvinüülkloriid glükoos 5% 20 mg/ml -27°C kaitsta valguse eest
90 päev
1349
Tõenduspõhisuse tase D

polüpropüleen naatriumkloriid 0.9% 10 mg/ml 2-8°C kaitsta valguse eest
14 päev
1845
Tõenduspõhisuse tase B+

polüpropüleen naatriumkloriid 0.9% 10 mg/ml 25°C kaitsta valguse eest
4 päev
1845
Tõenduspõhisuse tase B+

süstal  polüpropüleenist süstevesi 140 mg/ml 4°C-8°C kaitsta valguse eest
9 päev
1300
Bioloogiline analüüs

süstal  polüpropüleenist süstevesi 5 mg/ml 2-8°C kaitsta valguse eest
2 päev
4922
Tõenduspõhisuse tase D

süstal  polüpropüleenist NaCl 0.9% + fenool 0.4% 5 mg/ml 2-8°C kaitsta valguse eest
2 päev
4922
Tõenduspõhisuse tase D

Polüisopreenist elastomeer naatriumkloriid 0.9% 50 mg/ml 2-8°C pole täpsustatud
6 päev
3189
Tõenduspõhisuse tase D

Polüisopreenist elastomeer NaCl 0,9% tsitraatpuhver 0,3% pH7 10 & 50 mg/ml 2-8°C pole täpsustatud
13 päev
4218
Tõenduspõhisuse tase A+

Polüisopreenist elastomeer NaCl 0,9% tsitraatpuhver 0,3% pH7 10 & 50 mg/ml 32°C pole täpsustatud
24 Tund
4218
Tõenduspõhisuse tase A+

Polüisopreenist elastomeer NaCl 0,9% tsitraatpuhver 0,3% pH7 5 & 60 mg/ml 2-8°C kaitsta valguse eest
6 päev
4590
Tõenduspõhisuse tase A

Polüisopreenist elastomeer NaCl 0,9% tsitraatpuhver 0,3% pH7 5 & 60 mg/ml 37°C kaitsta valguse eest
24 Tund
4590
Tõenduspõhisuse tase A

Silikoon elastomeer NaCl 0,9% tsitraatpuhver 0,3% pH7 10 & 50 mg/ml 2-8°C pole täpsustatud
13 päev
4218
Tõenduspõhisuse tase A+

Silikoon elastomeer NaCl 0,9% tsitraatpuhver 0,3% pH7 10 & 50 mg/ml 32°C pole täpsustatud
24 Tund
4218
Tõenduspõhisuse tase A+


  Mentions Légales