最新更新 :
27/11/2025
抗生素   Flucloxacillin sodium  
注射液
溶液稳定性 混合物稳定性 影响稳定性的因素 兼容性 用药途径 引用文献 PDF
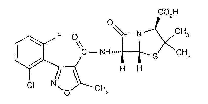
   化学式  

商品名   商品名     

商品名仅供参考, 药品所用的辅料可能依国家或厂商不同有所不同。

Astaph 摩洛哥
Betabiotic 意大利
DBL flucloxacillin sodium 澳大利亚
Flix 土耳其
Floxam 摩洛哥
Floxapen 奥地利, 意大利, 摩洛哥, 比利时, 沙特阿拉伯, 波兰, 瑞士, 美国, 荷兰, 葡萄牙
Flucloxacillin 德国, 意大利, 澳大利亚, 英国
Flucloxacilline 比利时, 法国, 荷兰
Flucloxin 新西蘭
Ladropen 美国
Stafoxil 荷兰
Staphylex 德国
溶液稳定性   注射液   溶液稳定性 : Flucloxacillin sodium     
容器 溶剂 浓度 温度 保存 穩定持續時間 引用文献
玻璃 注射用水 5 mg/ml 2-8°C 避光
7 白天
4922
D级

玻璃 NaCl 0.9% + 苯酚 0.4% 5 mg/ml 2-8°C 避光
7 白天
4922
D级

聚氯乙烯 NaCl 0,9% 120 mg/ml 2-8°C 无特殊要求
6 白天
3189
D级

聚氯乙烯 NaCl 0,9% 20 mg/ml -27°C 避光
270 白天
1349
D级

聚氯乙烯 NaCl 0,9% 5 & 10 & 20 mg/ml 5°C 避光
21 白天
1494
D级

聚氯乙烯 葡萄糖5% 20 mg/ml -27°C 避光
90 白天
1349
D级

聚丙烯 NaCl 0,9% 10 mg/ml 2-8°C 避光
14 白天
1845
B+级

聚丙烯 NaCl 0,9% 10 mg/ml 25°C 避光
4 白天
1845
B+级

注射器  聚丙烯 注射用水 140 mg/ml 4°C-8°C 避光
9 白天
1300
生物检测

注射器  聚丙烯 注射用水 5 mg/ml 2-8°C 避光
2 白天
4922
D级

注射器  聚丙烯 NaCl 0.9% + 苯酚 0.4% 5 mg/ml 2-8°C 避光
2 白天
4922
D级

聚異戊二烯彈性體 NaCl 0,9% 50 mg/ml 2-8°C 无特殊要求
6 白天
3189
D级

聚異戊二烯彈性體 氯化鈉0.9%檸檬酸鹽緩衝液0.3%pH7 10 & 50 mg/ml 2-8°C 无特殊要求
13 白天
4218
A+级

聚異戊二烯彈性體 氯化鈉0.9%檸檬酸鹽緩衝液0.3%pH7 10 & 50 mg/ml 32°C 无特殊要求
24 小时
4218
A+级

聚異戊二烯彈性體 氯化鈉0.9%檸檬酸鹽緩衝液0.3%pH7 5 & 60 mg/ml 2-8°C 避光
6 白天
4590
A级

聚異戊二烯彈性體 氯化鈉0.9%檸檬酸鹽緩衝液0.3%pH7 5 & 60 mg/ml 37°C 避光
24 小时
4590
A级

有機矽彈性體 氯化鈉0.9%檸檬酸鹽緩衝液0.3%pH7 10 & 50 mg/ml 2-8°C 无特殊要求
13 白天
4218
A+级

有機矽彈性體 氯化鈉0.9%檸檬酸鹽緩衝液0.3%pH7 10 & 50 mg/ml 32°C 无特殊要求
24 小时
4218
A+级


  Mentions Légales