Ostatnia aktualizacja :
18/03/2026
Antybiotyk   Flucloxacillin sodium  
Injekcje
Trwałość roztworów Trwałość w mieszaninie Czynnik wpływający na trwałość Zgodność Sposób podania Bibliografia pdf
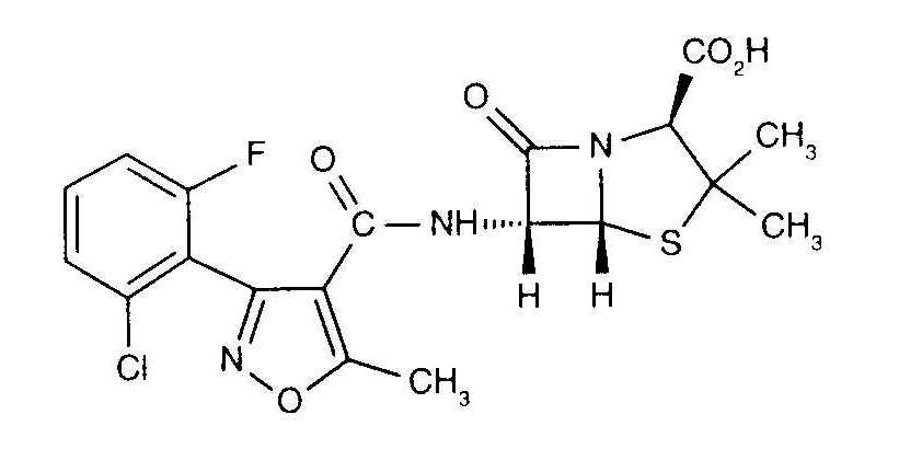
   Struktura chemiczna  

Nazwa handlowa   Nazwa handlowa     

Trade names are indicative and excipients composition can be different depending on the country and manufacturers

Astaph Maroko
Betabiotic Włochy
DBL flucloxacillin sodium Australia
Flix Turcja
Floxam Maroko
Floxapen Arabia Saudyjska, Austria, Belgia, Holandia, Maroko, Polska, Portugalia, Stany Zjednoczone Ameryki, Szwajcaria, Włochy
Flucloxacillin Australia, Niemcy, Wielka Brytania, Włochy
Flucloxacilline Belgia, Francja , Holandia
Flucloxin nowa Zelandia
Ladropen Stany Zjednoczone Ameryki
Stafoxil Holandia
Staphylex Niemcy
Trwałość roztworów   Injekcje   Trwałość roztworów : Flucloxacillin sodium     
Pojemnik Rozpuszczalnik Stężenie Temperatura Przechowywanie Czas trwania stabilności Bibliografia
Szkło Woda do wstrzyknięć 5 mg/ml 2-8°C Chronić od światła
7 Dzień
4922
Poziom wiarygodności D

Szkło NaCl 0.9% + fenol 0.4% 5 mg/ml 2-8°C Chronić od światła
7 Dzień
4922
Poziom wiarygodności D

Polichlorek winylu Chlorek sodu 0,9% 120 mg/ml 2-8°C Nie wyszczególniony
6 Dzień
3189
Poziom wiarygodności D

Polichlorek winylu Chlorek sodu 0,9% 20 mg/ml -27°C Chronić od światła
270 Dzień
1349
Poziom wiarygodności D

Polichlorek winylu Chlorek sodu 0,9% 5 & 10 & 20 mg/ml 5°C Chronić od światła
21 Dzień
1494
Poziom wiarygodności D

Polichlorek winylu Glukoza 5% 20 mg/ml -27°C Chronić od światła
90 Dzień
1349
Poziom wiarygodności D

Polipropylen Chlorek sodu 0,9% 10 mg/ml 2-8°C Chronić od światła
14 Dzień
1845
Poziom wiarygodności B+

Polipropylen Chlorek sodu 0,9% 10 mg/ml 25°C Chronić od światła
4 Dzień
1845
Poziom wiarygodności B+

Strzykawka Woda do wstrzyknięć 140 mg/ml 4°C-8°C Chronić od światła
9 Dzień
1300
Analiza biologiczna

Strzykawka Woda do wstrzyknięć 5 mg/ml 2-8°C Chronić od światła
2 Dzień
4922
Poziom wiarygodności D

Strzykawka NaCl 0.9% + fenol 0.4% 5 mg/ml 2-8°C Chronić od światła
2 Dzień
4922
Poziom wiarygodności D

Elastomer poliizoprenowy Chlorek sodu 0,9% 50 mg/ml 2-8°C Nie wyszczególniony
6 Dzień
3189
Poziom wiarygodności D

Elastomer poliizoprenowy NaCl 0,9% cytrynian tamponu 0,3% pH 7 10 & 50 mg/ml 2-8°C Nie wyszczególniony
13 Dzień
4218
Poziom wiarygodności A+

Elastomer poliizoprenowy NaCl 0,9% cytrynian tamponu 0,3% pH 7 10 & 50 mg/ml 32°C Nie wyszczególniony
24 Godzina
4218
Poziom wiarygodności A+

Elastomer poliizoprenowy NaCl 0,9% cytrynian tamponu 0,3% pH 7 5 & 60 mg/ml 2-8°C Chronić od światła
6 Dzień
4590
Poziom wiarygodności A

Elastomer poliizoprenowy NaCl 0,9% cytrynian tamponu 0,3% pH 7 5 & 60 mg/ml 37°C Chronić od światła
24 Godzina
4590
Poziom wiarygodności A

Elastomer silikonowy NaCl 0,9% cytrynian tamponu 0,3% pH 7 10 & 50 mg/ml 2-8°C Nie wyszczególniony
13 Dzień
4218
Poziom wiarygodności A+

Elastomer silikonowy NaCl 0,9% cytrynian tamponu 0,3% pH 7 10 & 50 mg/ml 32°C Nie wyszczególniony
24 Godzina
4218
Poziom wiarygodności A+


  Mentions Légales