Última actualização :
17/12/2025
antibiótico   Flucloxacillin sodium  
injetável
Estabilidade em soluções simples Estabilidade em misturas Factores que afectam a sua estabilidade Compatibilidade Método de administração Bibliografía pdf
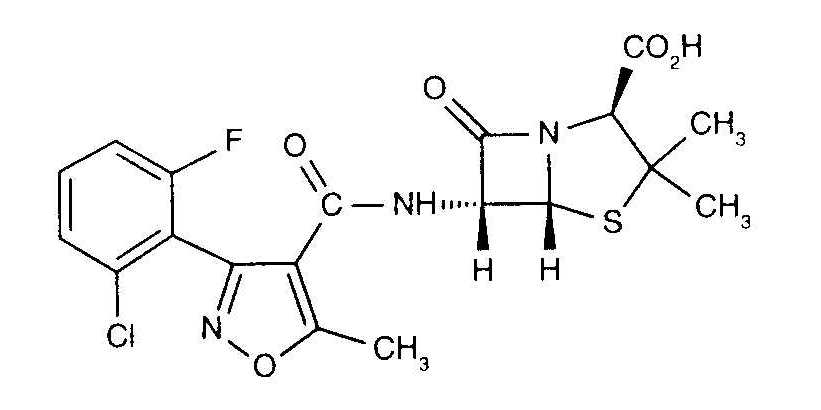
   estrutura química  

Nomes comerciais nos diversos países   Nomes comerciais nos diversos países     

OS NOMES COMERCIAIS SÃO INDICATIVOS E OS EXCIPIENTES DA FORMULAÇÃO PODEM SER DIFERENTES CONFORME O PAÍS E FABRICANTE.

Astaph Marrocos
Betabiotic Itália
DBL flucloxacillin sodium Australia
Flix Turquia
Floxam Marrocos
Floxapen Arábia Saudita, Austria, Bélgica, Estados Unidos de América, Itália, Marrocos, Países Baixos, Polonia, Portugal, Suicia
Flucloxacillin Alemanha, Australia, Gran-bretanha, Itália
Flucloxacilline Bélgica, França, Países Baixos
Flucloxin nova Zelândia
Ladropen Estados Unidos de América
Stafoxil Países Baixos
Staphylex Alemanha
Estabilidade em soluções simples   injetável   Estabilidade em soluções simples : Flucloxacillin sodium     
Embalagem Solvente concentração temperatura conservação Duração da estabilidade Bibliografia
vidro Agua para injectaveis 5 mg/ml 2-8°C ao abrigo da luz
7 dia
4922
Nível de evidência D

vidro NaCl 0.9% + fenol 0.4% 5 mg/ml 2-8°C ao abrigo da luz
7 dia
4922
Nível de evidência D

Cloreto de polivinilo cloreto de sódio 0,9% 120 mg/ml 2-8°C no especificado
6 dia
3189
Nível de evidência D

Cloreto de polivinilo cloreto de sódio 0,9% 20 mg/ml -27°C ao abrigo da luz
270 dia
1349
Nível de evidência D

Cloreto de polivinilo cloreto de sódio 0,9% 5 & 10 & 20 mg/ml 5°C ao abrigo da luz
21 dia
1494
Nível de evidência D

Cloreto de polivinilo Glucose 5% 20 mg/ml -27°C ao abrigo da luz
90 dia
1349
Nível de evidência D

Polipropileno cloreto de sódio 0,9% 10 mg/ml 2-8°C ao abrigo da luz
14 dia
1845
Nível de evidência B+

Polipropileno cloreto de sódio 0,9% 10 mg/ml 25°C ao abrigo da luz
4 dia
1845
Nível de evidência B+

seringa polipropylen Agua para injectaveis 140 mg/ml 4°C-8°C ao abrigo da luz
9 dia
1300
análise biológica

seringa polipropylen Agua para injectaveis 5 mg/ml 2-8°C ao abrigo da luz
2 dia
4922
Nível de evidência D

seringa polipropylen NaCl 0.9% + fenol 0.4% 5 mg/ml 2-8°C ao abrigo da luz
2 dia
4922
Nível de evidência D

Elastômero de poliisopreno cloreto de sódio 0,9% 50 mg/ml 2-8°C no especificado
6 dia
3189
Nível de evidência D

Elastômero de poliisopreno NaCl 0,9% tampão citrato 0,3% pH7 10 & 50 mg/ml 2-8°C no especificado
13 dia
4218
Nível de evidência A+

Elastômero de poliisopreno NaCl 0,9% tampão citrato 0,3% pH7 10 & 50 mg/ml 32°C no especificado
24 hora
4218
Nível de evidência A+

Elastômero de poliisopreno NaCl 0,9% tampão citrato 0,3% pH7 5 & 60 mg/ml 2-8°C ao abrigo da luz
6 dia
4590
Nível de evidência A

Elastômero de poliisopreno NaCl 0,9% tampão citrato 0,3% pH7 5 & 60 mg/ml 37°C ao abrigo da luz
24 hora
4590
Nível de evidência A

Elastômero de silicone NaCl 0,9% tampão citrato 0,3% pH7 10 & 50 mg/ml 2-8°C no especificado
13 dia
4218
Nível de evidência A+

Elastômero de silicone NaCl 0,9% tampão citrato 0,3% pH7 10 & 50 mg/ml 32°C no especificado
24 hora
4218
Nível de evidência A+


  Mentions Légales