Son güncelleme :
05/12/2025
Kardiyotonik   Digoxin  
Enjeksiyon
Çözeltilerin stabilitesi Karışımlardaki stabilitesi Stabiliteyi etkileyen faktörler Uyumluluk Uygulama yöntemi Kaynaklar pdf
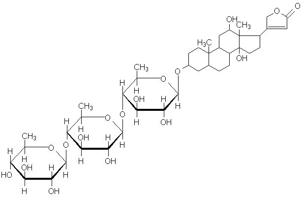
   Kimyasal yapı   

Ticari isim   Ticari isim     

Trade names are indicative and excipients composition can be different depending on the country and manufacturers

Cardixin Mısır
Celoxin Hindistan
Digibind Amerika Birleşik Devletleri, yeni Zelanda
Digocard Arjantin, Ekvador
Digosin Japonya
Digoxin Amerika Birleşik Devletleri, Arjantin, Büyük Britanya, Danimarka, Ekvador, Finlandiya, İran, İsveç, Kanada, Macaristan, Polonya
Digoxina Arjantin, Ekvador, İspanya, Meksika, Venezuela
Digoxine Fransa, İsviçre, Yunanistan
Geoxin Hindistan
Lanibos Suudi Arabistan
Lanicor Almanya
Lanoxin Amerika Birleşik Devletleri, Belçika, Birleşik Arap Emirlikleri, Büyük Britanya, Hollanda, İran, İrlanda, İtalya, Lüksemburg, Malezya, Mısır, Norveç, Portekiz, Şili, Suudi Arabistan, yeni Zelanda
Loxinan Meksika
Çözeltilerin stabilitesi   Enjeksiyon    Çözeltilerin stabilitesi : Digoxin     
Saklama kabı Çözücü Konsantrasyon Isı Saklama    Stabilite süresi Kaynaklar
Cam Sodyum klorür % 0,9 2,5 µg/ml 23-26°C I_ık
48 Zaman
618
biyolojik analiz

Cam Sodyum klorür % 0,9 2,5 µg/ml 4°C Işıktan koruyunuz
48 Zaman
618
biyolojik analiz

Cam Sodyum klorür % 0,9 50 µg/ml 23-27°C I_ık
180 Gün
4690
Kanıt düzeyi B+

Cam Sodyum klorür % 0,9 50 µg/ml 3-7°C I_ık
180 Gün
4690
Kanıt düzeyi B+

Cam Glukoz %5 2,5 µg/ml 23-26°C I_ık
48 Zaman
618
biyolojik analiz

Cam Glukoz %5 2,5 µg/ml 4°C Işıktan koruyunuz
48 Zaman
618
biyolojik analiz

Cam Laktatlı ringer 2,5 µg/ml 23°C-26°C I_ık
6 Zaman
618
biyolojik analiz


  Mentions Légales