Seneste opdatering :
03/02/2026
Kardoitonisk   Digoxin  
Injektion
Stabilitet i (vandige) opløsninger Stabilitet i blandinger Faktorer der påvirker stabiliteten Kompatibilitet Administrationsvej Bibliografi pdf
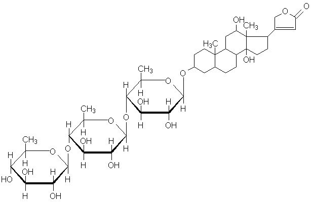
   Kemisk struktur  

Handelsnavn   Handelsnavn     

Handel navne er vejledende og hjælpestoffer sammensætning kan være forskellig afhængigt af landet og laboratorier

Cardixin Ægypten
Celoxin Indien
Digibind New Zealand, USA
Digocard Argentina, Ecuador
Digosin Japan
Digoxin Argentina, Canada, Danmark, Ecuador, Finland, Iran, Polen, Storbritanien, Sverige, Ungarn, USA
Digoxina Argentina, Ecuador, Mexico, Spanien, Venezuela
Digoxine Frankrig, Grækenland, Schweiz
Geoxin Indien
Lanibos Saudi-Arabien
Lanicor Tyskland
Lanoxin Belgien, Chile, Forenede Arabiske Emirater, Holland, Iran, Irland, Italien, Luxemborg, Malaysia, New Zealand, Norge, Portugal, Saudi-Arabien, Storbritanien, USA, Ægypten
Loxinan Mexico
Stabilitet i (vandige) opløsninger   Injektion   Stabilitet i (vandige) opløsninger : Digoxin     
Beholder Opløsningsmiddel Koncentration Temperatur Konservering Varighed af stabilitet Bibliografi
Glas 0,9 % Natriumklorid 2,5 µg/ml 23-26°C Lys
48 Time
618
biologisk analyse

Glas 0,9 % Natriumklorid 2,5 µg/ml 4°C Beskyt mod lys
48 Time
618
biologisk analyse

Glas 0,9 % Natriumklorid 50 µg/ml 23-27°C Lys
180 Dag
4690
Level af bevismateriale B+

Glas 0,9 % Natriumklorid 50 µg/ml 3-7°C Lys
180 Dag
4690
Level af bevismateriale B+

Glas 5 % Glukose 2,5 µg/ml 23-26°C Lys
48 Time
618
biologisk analyse

Glas 5 % Glukose 2,5 µg/ml 4°C Beskyt mod lys
48 Time
618
biologisk analyse

Glas Ringer laktat 2,5 µg/ml 23°C-26°C Lys
6 Time
618
biologisk analyse


  Mentions Légales