Poslední aktualizace :
27/11/2025
Kardiotoninis vaistas   Digoxin  
Įpurškimas
Tirpalų stabilumas Mišinių stabilumas Stabilumą lemiantys veiksniai Suderinamumas Leidimo būdai Bibliografija pdf
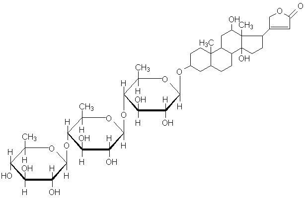
   Cheminė sandara  

Prekinis pavadinimas   Prekinis pavadinimas     

Trade names are indicative and excipients composition can be different depending on the country and manufacturers

Cardixin Egiptas
Celoxin Indija
Digibind Jungtinės Amerikos Valstijos, Naujojoje Zelandijoje
Digocard Argentina, Ekvadoras
Digosin Japonija
Digoxin Argentina, Danija, Didžioji Britanija, Ekvadoras, Iranas, Jungtinės Amerikos Valstijos, Kanada, Lenkija, Suomija, Švedija, Vengrija
Digoxina Argentina, Ekvadoras, Ispanija, Meksikas, Venesuela
Digoxine Graikija, Prancūzija, Šveicarija
Geoxin Indija
Lanibos Saudo Arabija
Lanicor Vokietija
Lanoxin Airija, Belgija, Čilė, Didžioji Britanija, Egiptas, Iranas, Italija, Jungtinės Amerikos Valstijos, Jungtiniai Arabų Emyratai, Liuksemburgas, Malaizija, Naujojoje Zelandijoje, Norvegija, Olandija, Portugalija, Saudo Arabija
Loxinan Meksikas
Tirpalų stabilumas   Įpurškimas   Tirpalų stabilumas : Digoxin     
Pakuotė Tirpiklis Koncentracija Temperatūra Laikymas Stabilumo trukmė Nuorodos
Stiklas Natrio chloridas 0,9% 2,5 µg/ml 23-26°C Šviesa
48 Valanda
618
Biologinis metodas

Stiklas Natrio chloridas 0,9% 2,5 µg/ml 4°C Apsaugotas nuo šviesos
48 Valanda
618
Biologinis metodas

Stiklas Natrio chloridas 0,9% 50 µg/ml 23-27°C Šviesa
180 Diena
4690
Bandymo lygis B+

Stiklas Natrio chloridas 0,9% 50 µg/ml 3-7°C Šviesa
180 Diena
4690
Bandymo lygis B+

Stiklas Gliukozė 5% 2,5 µg/ml 23-26°C Šviesa
48 Valanda
618
Biologinis metodas

Stiklas Gliukozė 5% 2,5 µg/ml 4°C Apsaugotas nuo šviesos
48 Valanda
618
Biologinis metodas

Stiklas Ringerio laktato tirpalas 2,5 µg/ml 23°C-26°C Šviesa
6 Valanda
618
Biologinis metodas


  Mentions Légales