آخر تحديث :
05/12/2025
مقوي القلب   Digoxin  
حقن
الاستقرار في حلول استقرار مخاليط العوامل التي تؤثر على الاستقرار التوافق طريقة التعاطي مراجع pdf
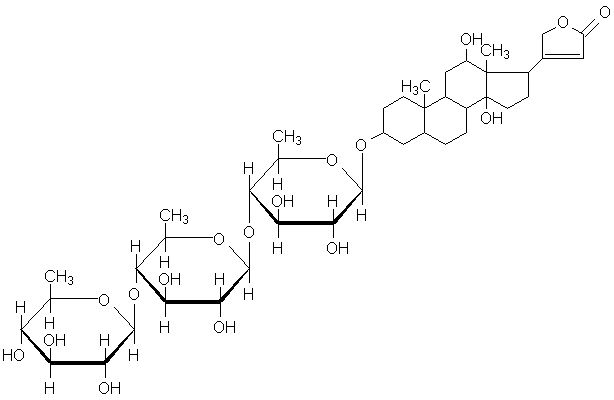
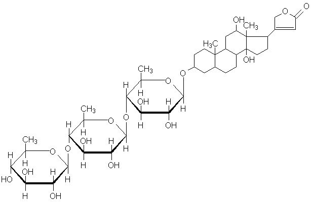
   التركيب الكيميائي  

حجز الاسم التجاري   حجز الاسم التجاري     

تحذير الأسماء التجاريه المختلفه قد تحتوي علي محتوي إضافات مختلفة حسب الدوله و المعمل

Cardixin مصر
Celoxin الهند
Digibind الولايات المتحدة, زيلاندا الجديدة
Digocard الأرجنتين, الإكوادور
Digosin اليابان
Digoxin إيران, الأرجنتين, الإكوادور, الدنمارك, السويد, الولايات المتحدة, بريطانيا العظمي, بولندا, فنلندا, كندا, هنغاريا
Digoxina إسبانيا, الأرجنتين, الإكوادور, المكسيك, فنزويلا
Digoxine سويسرا, فرنسا, يونان
Geoxin الهند
Lanibos العربية السعودية
Lanicor ألمانيا
Lanoxin إيران, إيطاليا, الإمارات العربية المتحدة, البرتغال, العربية السعودية, النرويج, الولايات المتحدة, ايرلندا, بريطانيا العظمي, بلجيكا, تشيلي, زيلاندا الجديدة, لوكسمبورغ, ماليزيا, مصر, هولندا
Loxinan المكسيك
الاستقرار في حلول   حقن   الاستقرار في حلول : Digoxin     
حاوية مذيب تركيز درجة الحرارة تخزين مدة الاستقرار مراجع
زجاج كلوريد الصوديوم 0.9% 2,5 µg/ml 23-26°C ضوء
48 ساعة
618
التحليل البيولوجي

زجاج كلوريد الصوديوم 0.9% 2,5 µg/ml 4°C بعيدا عن الضوء
48 ساعة
618
التحليل البيولوجي

زجاج كلوريد الصوديوم 0.9% 50 µg/ml 23-27°C ضوء
180 يوم
4690
B+ مستوى الأدلة

زجاج كلوريد الصوديوم 0.9% 50 µg/ml 3-7°C ضوء
180 يوم
4690
B+ مستوى الأدلة

زجاج الجلوكوز %5 2,5 µg/ml 23-26°C ضوء
48 ساعة
618
التحليل البيولوجي

زجاج الجلوكوز %5 2,5 µg/ml 4°C بعيدا عن الضوء
48 ساعة
618
التحليل البيولوجي

زجاج محلول رينجر  اللاكتات 2,5 µg/ml 23°C-26°C ضوء
6 ساعة
618
التحليل البيولوجي


  Mentions Légales