Última actualización :
18/03/2026
Cardiotónico   Digoxin  
Inyectables
Estabilidad en solucion Estabilidad en mezcla Factores que influyen sobre la estabilidad Compatibilidades método de inyección Bibliografía pdf
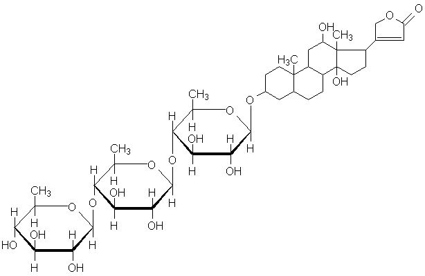
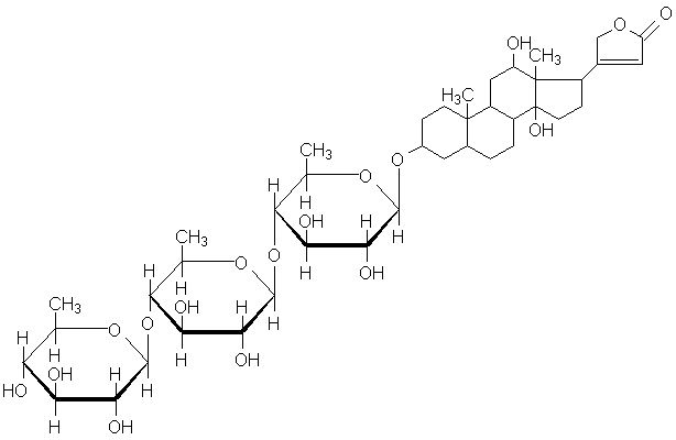
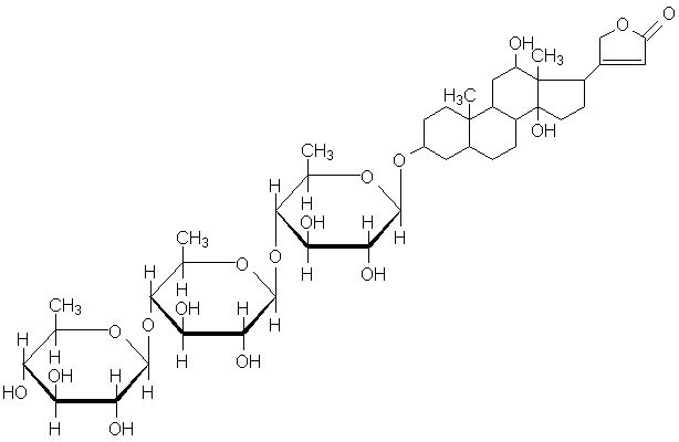
   Estructura química  

Nombre comercial   Nombre comercial     

Los nombres comerciales son orientativos y los excipientes de la formulación pueden ser distintos dependiendo del país y del laboratorio fabricante.

Cardixin Egipto
Celoxin India
Digibind Estados Unidos de América, Nueva Zelanda
Digocard Argentina, Ecuador
Digosin Japón
Digoxin Argentina, Canadá, Dinamarca, Ecuador, Estados Unidos de América, Finlandia, Gran Bretaña, Hungría, Irán, Polonia, Suecia
Digoxina Argentina, Ecuador, España, México, Venezuela
Digoxine Francia, Grecia, Suiza
Geoxin India
Lanibos Arabia Saudita
Lanicor Alemania
Lanoxin Arabia Saudita, Bélgica, Chile, Egipto, Emiratos Árabes Unidos, Estados Unidos de América, Gran Bretaña, Irán, Irlanda, Italia, Luxemburgo, Malasia, Noruega, Nueva Zelanda, Países Bajos, Portugal
Loxinan México
Estabilidad en solucion   Inyectables   Estabilidad en solucion : Digoxin     
Envase Solvente Concentración Temperatura Conservación Duración de la estabilidad Bibliografía
Vidrio Cloruro de sodio 0,9% 2,5 µg/ml 23-26°C Luz
48 Hora
618
análisis biológico

Vidrio Cloruro de sodio 0,9% 2,5 µg/ml 4°C A cubierto de la luz
48 Hora
618
análisis biológico

Vidrio Cloruro de sodio 0,9% 50 µg/ml 23-27°C Luz
180 Día
4690
Nivel de evidencia B+

Vidrio Cloruro de sodio 0,9% 50 µg/ml 3-7°C Luz
180 Día
4690
Nivel de evidencia B+

Vidrio Glucosa 5% 2,5 µg/ml 23-26°C Luz
48 Hora
618
análisis biológico

Vidrio Glucosa 5% 2,5 µg/ml 4°C A cubierto de la luz
48 Hora
618
análisis biológico

Vidrio Ringer lactato 2,5 µg/ml 23°C-26°C Luz
6 Hora
618
análisis biológico


  Mentions Légales