Последно актуализиране :
03/02/2026
Кардиотонично средство   Digoxin  
Инжекция/Инжекционен
Стабилност на разтвори Стабилност на смеси Фактори, повлияващи стабилността Съвместимост Път на въвеждане Библиография Pdf
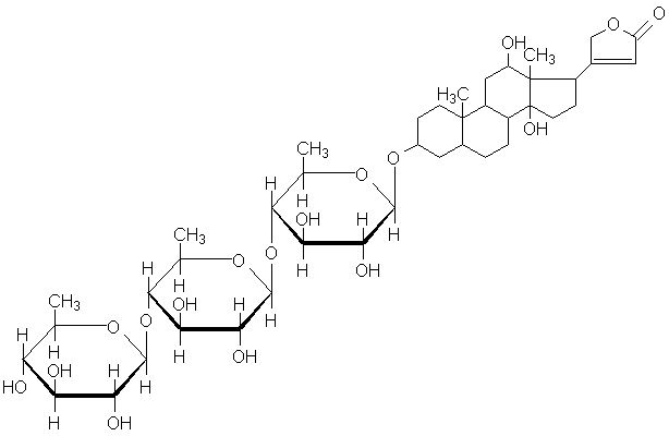
   Химична структура  

Търговско наименование   Търговско наименование     

Търговските имена са примерни и съставът на помощните вещества може да бъде различен в зависимост от държавата и лабораториите

Cardixin Египет
Celoxin Индия
Digibind нова Зеландия, Съединени Американски щати / САЩ
Digocard Аржентина, Еквадор
Digosin Япония
Digoxin Аржентина, Великобритания, Дания, Еквадор, Иран, Канада, Полша, Съединени Американски щати / САЩ, Унгария, Финландия, Швеция
Digoxina Аржентина, Венецуела, Еквадор, Испания, Мексико
Digoxine Гърция, Франция, Швейцария
Geoxin Индия
Lanibos Саудитска Арабия
Lanicor Германия
Lanoxin Белгия, Великобритания, Египет, Иран, Ирландия, Италия, Люксенбург, Малайзия, нова Зеландия, Норвегия, Обединени арабски емирства, Португалия, Саудитска Арабия, Съединени Американски щати / САЩ, Холандия, Чили
Loxinan Мексико
Стабилност на разтвори   Инжекция/Инжекционен   Стабилност на разтвори : Digoxin     
Контейнер Разтворител Концентрация Температура Съхранение Продължителност на стабилността Библиография
Стъкло Sodium chloride 0,9% 2,5 µg/ml 23-26°C Светлина
48 Час
618
Биологичен анализ

Стъкло Sodium chloride 0,9% 2,5 µg/ml 4°C Защита от светлина
48 Час
618
Биологичен анализ

Стъкло Sodium chloride 0,9% 50 µg/ml 23-27°C Светлина
180 Ден
4690
Степен на доказаност B+

Стъкло Sodium chloride 0,9% 50 µg/ml 3-7°C Светлина
180 Ден
4690
Степен на доказаност B+

Стъкло Glucose 5% 2,5 µg/ml 23-26°C Светлина
48 Час
618
Биологичен анализ

Стъкло Glucose 5% 2,5 µg/ml 4°C Защита от светлина
48 Час
618
Биологичен анализ

Стъкло Ринтер лактат 2,5 µg/ml 23°C-26°C Светлина
6 Час
618
Биологичен анализ


  Mentions Légales