Posledná aktualizácia :
03/02/2026
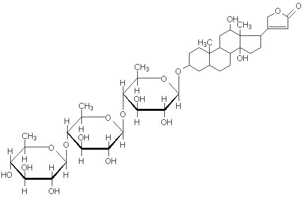
kardiotonikum   Digoxin  
Injekcia
Stabilita roztokov Stabilita v zmesiach Faktory ovplyvňujúce stabilitu Kompatibility spôsob podania Odkazy na literatúru PDF
   Chemický vzorec  

Obchodný názov   Obchodný názov     

Obchodné názvy sú orientačné, a zloženie pomocných látok sa môže líšiť v závislosti od krajiny a výrobcu.

Cardixin Egypt
Celoxin India
Digibind nový Zéland, Spojené štáty Americké
Digocard Argentína, Ekvádor
Digosin Japonsko
Digoxin Argentína, Dánsko, Ekvádor, Fínsko, Irán, Kanada, Maďarsko, Poľsko, Spojené štáty Americké, Švédsko, Veľká Británia
Digoxina Argentína, Ekvádor, Mexiko, Španielsko, Venezuela
Digoxine Francúzsko, Grécko, Švajčiarsko
Geoxin India
Lanibos Saudská Arábia
Lanicor Nemecko
Lanoxin Belgicko, Čile, Egypt, Holandsko, Irán, Írsko, Luxembursko, Malajzia, Nórsko, nový Zéland, Portugalsko, Saudská Arábia, Spojené arabské emiráty, Spojené štáty Americké, Taliansko, Veľká Británia
Loxinan Mexiko
Stabilita roztokov   Injekcia   Stabilita roztokov : Digoxin     
obal rozpúšťadlo koncentrácia teplota uchovávanie Trvanie stability odkazy na lieteratúru
Sklo 0,9% chlorid sodný 2,5 µg/ml 23-26°C Za svetla
48 hodín
618
biologická analýza

Sklo 0,9% chlorid sodný 2,5 µg/ml 4°C Chránené pred svetlom
48 hodín
618
biologická analýza

Sklo 0,9% chlorid sodný 50 µg/ml 23-27°C Za svetla
180 dní
4690
Úroveň dôkazov B+

Sklo 0,9% chlorid sodný 50 µg/ml 3-7°C Za svetla
180 dní
4690
Úroveň dôkazov B+

Sklo 5% glukóza 2,5 µg/ml 23-26°C Za svetla
48 hodín
618
biologická analýza

Sklo 5% glukóza 2,5 µg/ml 4°C Chránené pred svetlom
48 hodín
618
biologická analýza

Sklo Ringerov laktátový roztok 2,5 µg/ml 23°C-26°C Za svetla
6 hodín
618
biologická analýza


  Mentions Légales