Son güncelleme :
27/01/2026
Antibiyotik   Minocycline hydrochloride  
Enjeksiyon
Oral solüsyon / oral çözelti
Çözeltilerin stabilitesi Karışımlardaki stabilitesi Stabiliteyi etkileyen faktörler Uyumluluk Uygulama yöntemi Kaynaklar pdf
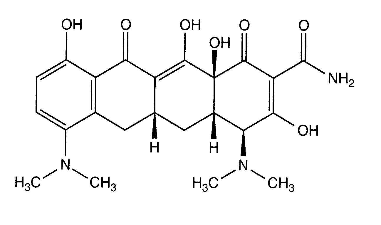
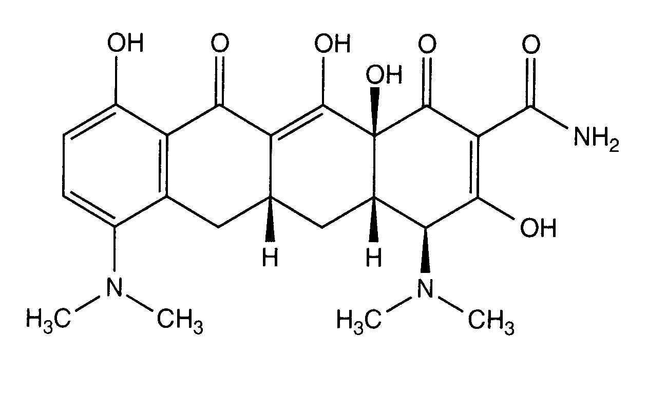
   Kimyasal yapı   

Ticari isim   Ticari isim     

Trade names are indicative and excipients composition can be different depending on the country and manufacturers

Minocin Amerika Birleşik Devletleri
Çözeltilerin stabilitesi   Enjeksiyon    Çözeltilerin stabilitesi : Minocycline hydrochloride     
Saklama kabı Çözücü Konsantrasyon Isı Saklama    Stabilite süresi Kaynaklar
Polivinil klorür Sodyum klorür % 0,9 0,1 mg/ml 24°C Belirtilmemiş
7 Gün
263
Kanıt düzeyi B+

Polivinil klorür Sodyum klorür % 0,9 0,1 mg/ml 4°C Belirtilmemiş
7 Gün
263
Kanıt düzeyi B+

Polivinil klorür Glukoz %5 0,1 mg/ml 24°C Belirtilmemiş
7 Gün
263
Kanıt düzeyi B+

Polivinil klorür Glukoz %5 0,1 mg/ml 4°C Belirtilmemiş
7 Gün
263
Kanıt düzeyi B+


  Mentions Légales