Ultimo aggiornamento :
27/11/2025
Antibiotico   Minocycline hydrochloride  
Iniezione
Soluzione orale
Stabilità in soluzione Stabilità in miscela Fattori che influenzano la stabilità Compatibilità metodo di iniezione Bibliografia pdf
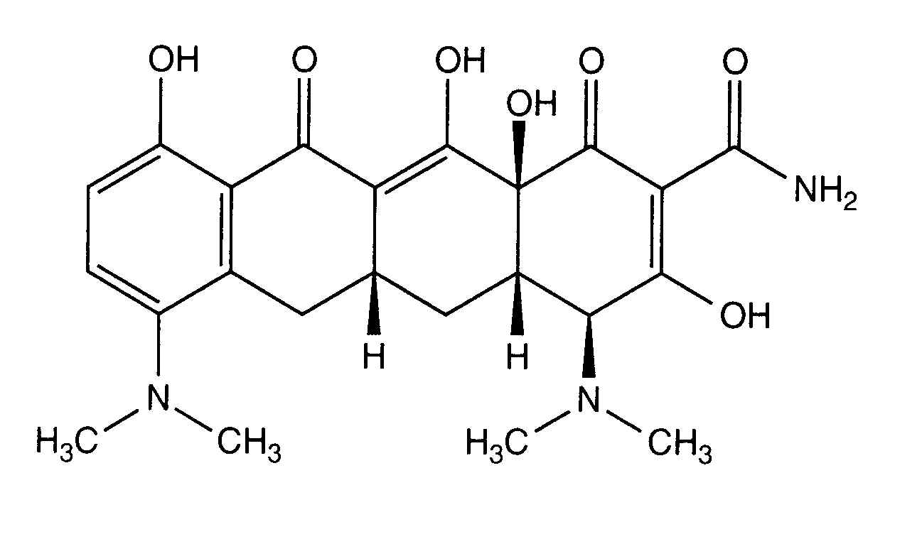
   Struttura chimica  

Nome commerciale   Nome commerciale     

Trade names are indicative and excipients composition can be different depending on the country and manufacturers

Minocin Stati Uniti d’America
Stabilità in soluzione   Iniezione   Stabilità in soluzione : Minocycline hydrochloride     
contenitore Solvente Concentrazione Temperatura Conservazione Durata della stabilità Bibliografia
Cloruro di polivinile Cloruro di sodio 0,9% 0,1 mg/ml 24°C Non precisata
7 Giorno
263
Livello di evidenza B+

Cloruro di polivinile Cloruro di sodio 0,9% 0,1 mg/ml 4°C Non precisata
7 Giorno
263
Livello di evidenza B+

Cloruro di polivinile Glucosio 5% 0,1 mg/ml 24°C Non precisata
7 Giorno
263
Livello di evidenza B+

Cloruro di polivinile Glucosio 5% 0,1 mg/ml 4°C Non precisata
7 Giorno
263
Livello di evidenza B+


  Mentions Légales