Last update :
27/11/2025
Antibiotic   Minocycline hydrochloride  
injection
Oral solution
Stability in solutions Stability of mixtures Factors which affect stability Compatibility Route of administration References pdf
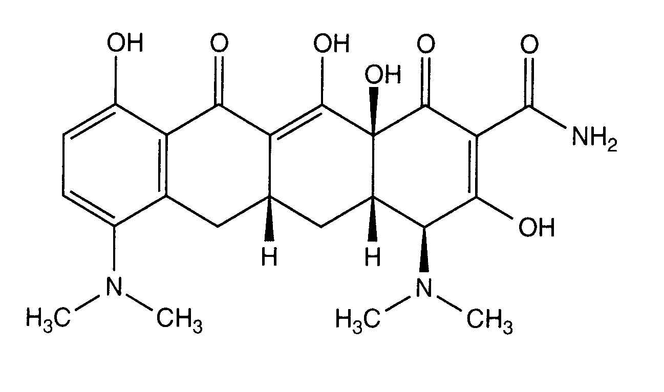
   Chemical structure  

Tradename   Tradename     

Trade names are indicative and excipients composition can be different depending on the country and manufacturers

Minocin United States of America
Stability in solutions   injection   Stability in solutions : Minocycline hydrochloride     
Container Solvent Concentration Temperature Storage Duration of stability References
Polyvinyl chloride Sodium chloride 0,9% 0,1 mg/ml 24°C Not specified
7 Day
263
Level of evidence B+

Polyvinyl chloride Sodium chloride 0,9% 0,1 mg/ml 4°C Not specified
7 Day
263
Level of evidence B+

Polyvinyl chloride Glucose 5% 0,1 mg/ml 24°C Not specified
7 Day
263
Level of evidence B+

Polyvinyl chloride Glucose 5% 0,1 mg/ml 4°C Not specified
7 Day
263
Level of evidence B+


  Mentions Légales