Ultimele actualizari :
18/03/2026
Antibiotic   Minocycline hydrochloride  
Injectabil
Soluţie orală
Stabilitatea in solutie Stabilitatea in amestec Factorii care influenteaza stabilitatea Compatibilitate Microunde Bibliografie pdf
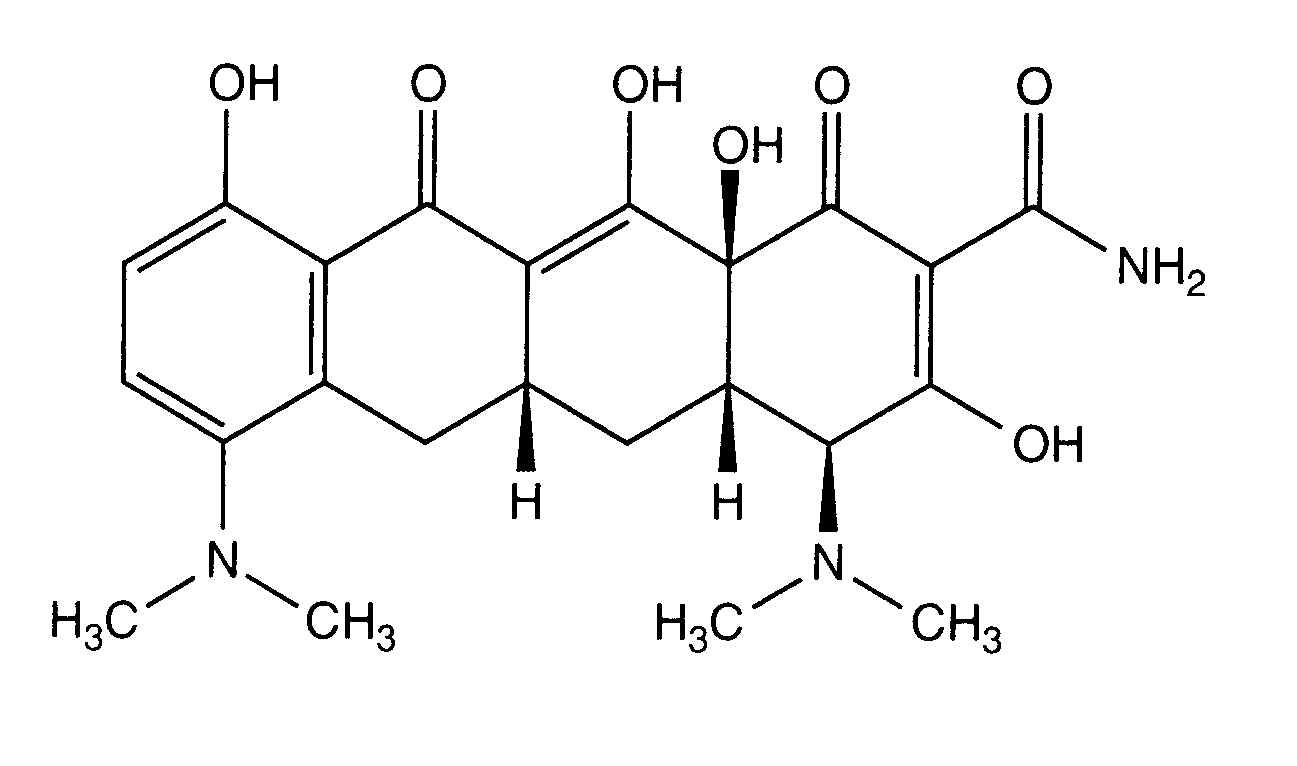
   Formula chimica  

Denumirea comerciala   Denumirea comerciala     

Trade names are indicative and excipients composition can be different depending on the country and manufacturers

Minocin SUA
Stabilitatea in solutie   Injectabil   Stabilitatea in solutie : Minocycline hydrochloride     
Continut Solvent Concentratie Temperatura Conservare Durata stabilității Bibiografie
clorura de polivinil clorura de sodiu 0,9% 0,1 mg/ml 24°C Neprecizat
7 Ziua
263
Nivel de evidență B+

clorura de polivinil clorura de sodiu 0,9% 0,1 mg/ml 4°C Neprecizat
7 Ziua
263
Nivel de evidență B+

clorura de polivinil Glucoza 5% 0,1 mg/ml 24°C Neprecizat
7 Ziua
263
Nivel de evidență B+

clorura de polivinil Glucoza 5% 0,1 mg/ml 4°C Neprecizat
7 Ziua
263
Nivel de evidență B+


  Mentions Légales