Dernière mise à jour :
27/01/2026
Antibiotique   Minocycline hydrochloride  
injectable
Solution buvable
Stabilité des solutions Stabilité en mélange Facteur influençant la stabilité Compatibilités Voie d’administration Bibliographie pdf
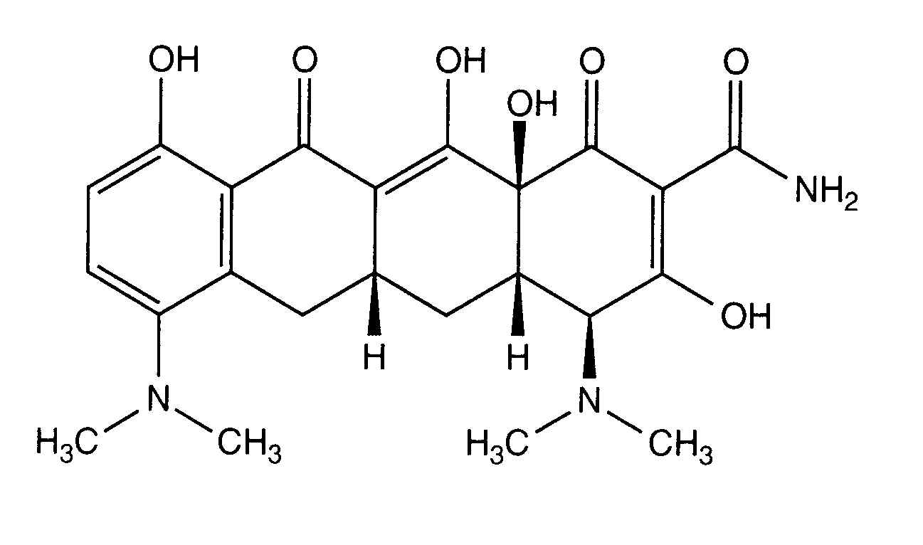
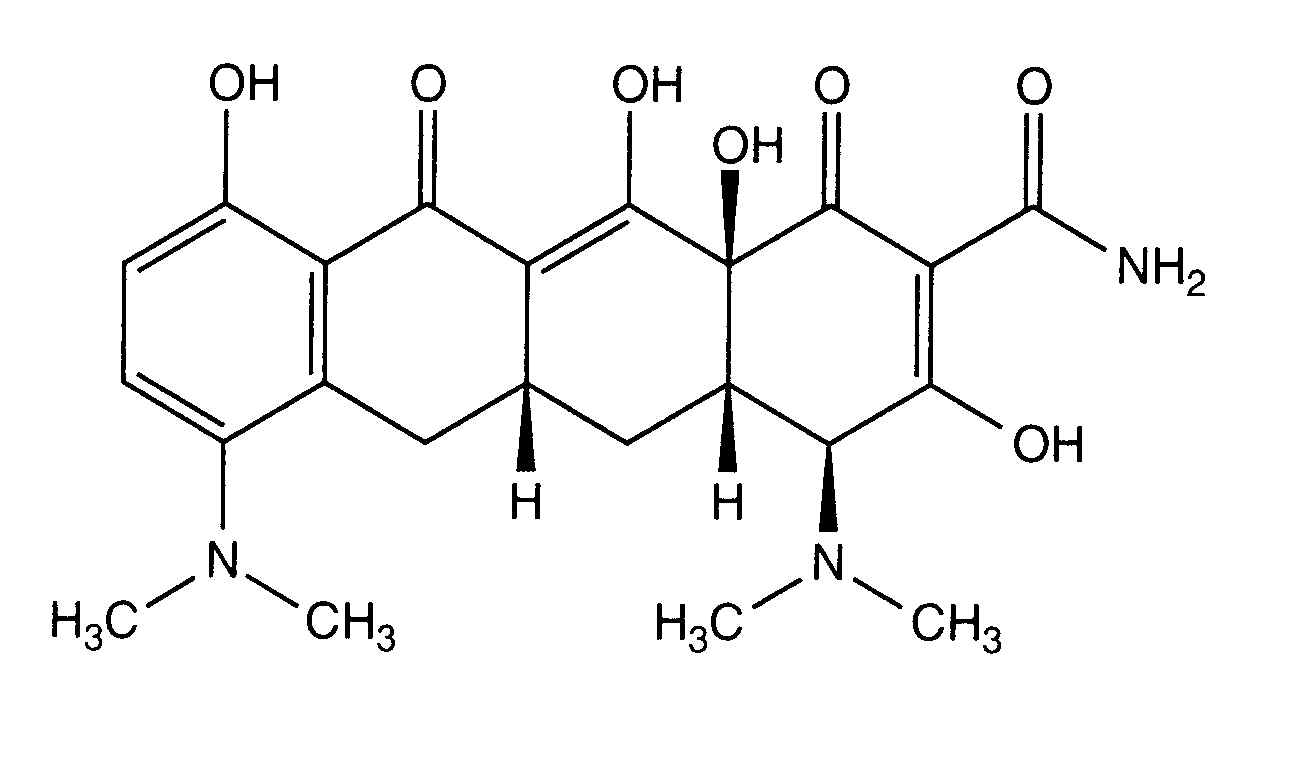
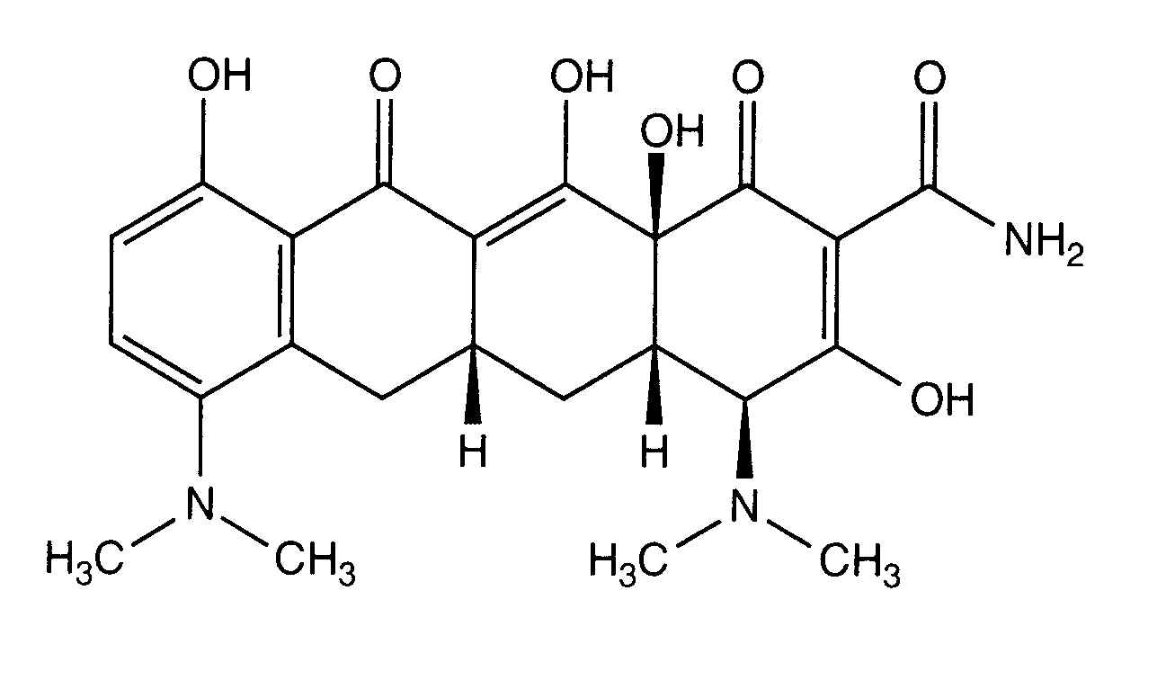
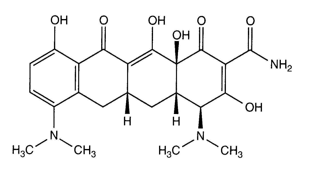
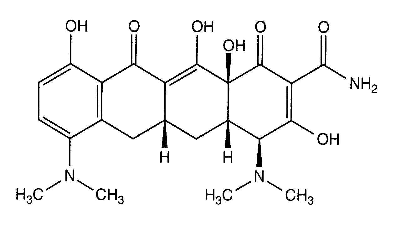
   Structure chimique  

Noms commerciaux   Noms commerciaux     

Les noms commerciaux sont donnés à titre indicatif et la composition en excipients peut être différente selon les pays et selon les laboratoires

Minocin Etats Unis d’Amérique
Stabilité des solutions   injectable   Stabilité des solutions : Minocycline hydrochloride     
Contenant Solvant Concentration Température Conservation Durée de stabilité Bibliographie
Polyvinyl chlorure Chlorure de sodium 0,9% 0,1 mg/ml 24°C Non précisée
7 Jour
263
Niveau de preuve B +

Polyvinyl chlorure Chlorure de sodium 0,9% 0,1 mg/ml 4°C Non précisée
7 Jour
263
Niveau de preuve B +

Polyvinyl chlorure Glucose 5% 0,1 mg/ml 24°C Non précisée
7 Jour
263
Niveau de preuve B +

Polyvinyl chlorure Glucose 5% 0,1 mg/ml 4°C Non précisée
7 Jour
263
Niveau de preuve B +


  Mentions Légales