Última actualização :
27/01/2026
antibiótico   Minocycline hydrochloride  
injetável
Solução Oral
Estabilidade em soluções simples Estabilidade em misturas Factores que afectam a sua estabilidade Compatibilidade Método de administração Bibliografía pdf
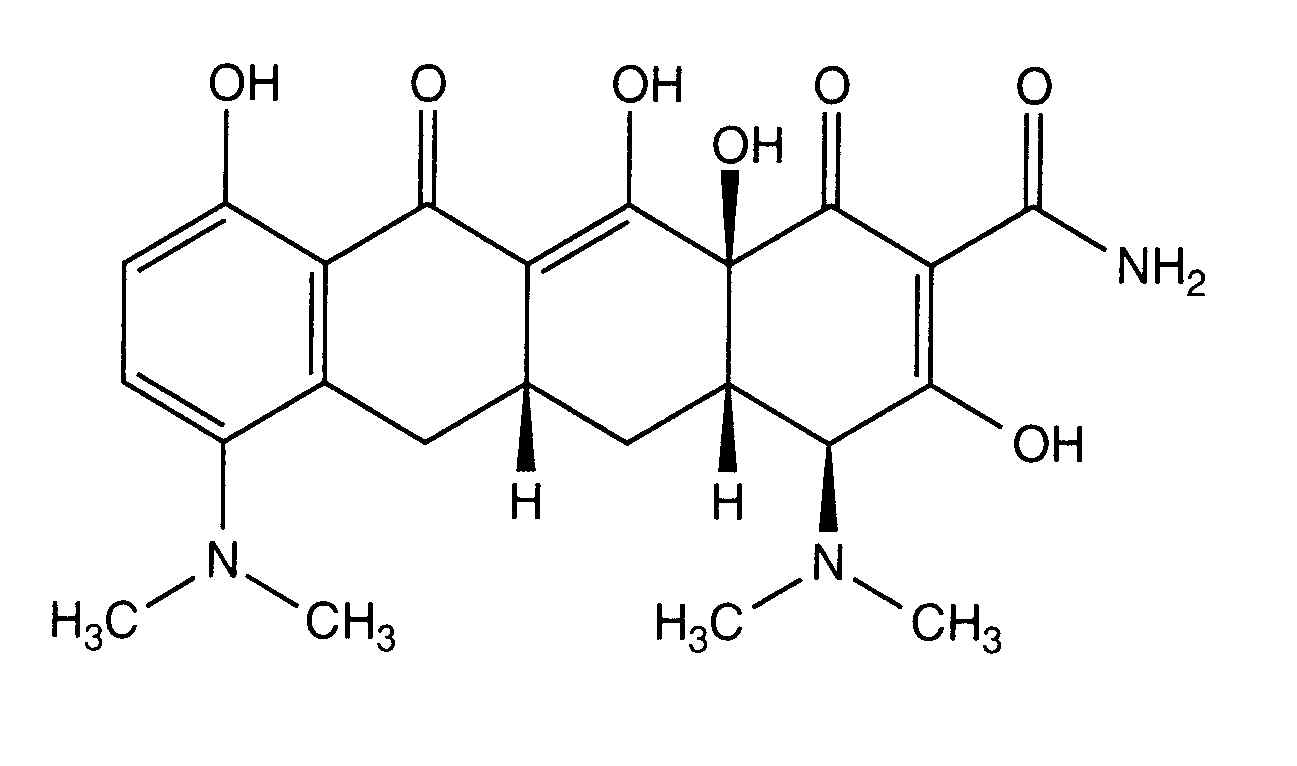
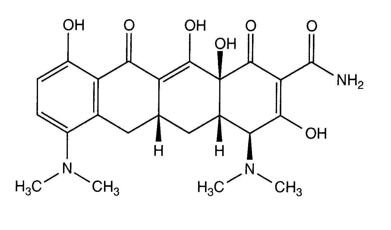
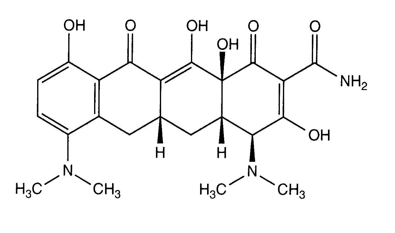
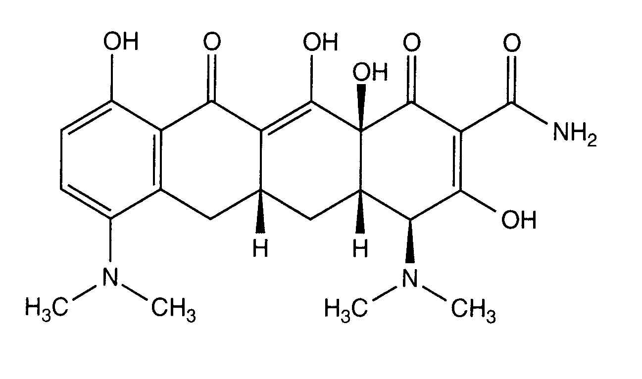
   estrutura química  

Nomes comerciais nos diversos países   Nomes comerciais nos diversos países     

OS NOMES COMERCIAIS SÃO INDICATIVOS E OS EXCIPIENTES DA FORMULAÇÃO PODEM SER DIFERENTES CONFORME O PAÍS E FABRICANTE.

Minocin Estados Unidos de América
Estabilidade em soluções simples   injetável   Estabilidade em soluções simples : Minocycline hydrochloride     
Embalagem Solvente concentração temperatura conservação Duração da estabilidade Bibliografia
Cloreto de polivinilo cloreto de sódio 0,9% 0,1 mg/ml 24°C no especificado
7 dia
263
Nível de evidência B+

Cloreto de polivinilo cloreto de sódio 0,9% 0,1 mg/ml 4°C no especificado
7 dia
263
Nível de evidência B+

Cloreto de polivinilo Glucose 5% 0,1 mg/ml 24°C no especificado
7 dia
263
Nível de evidência B+

Cloreto de polivinilo Glucose 5% 0,1 mg/ml 4°C no especificado
7 dia
263
Nível de evidência B+


  Mentions Légales