Siste oppdatering :
27/11/2025
Antibiotika   Minocycline hydrochloride  
Injeksjon
Mikstur
Oppløsningsstabilitet Stabilitet i blandinger Faktorer som påvirker stabiliteten Kompatibilitet Administrasjonsmåte Referanser pdf
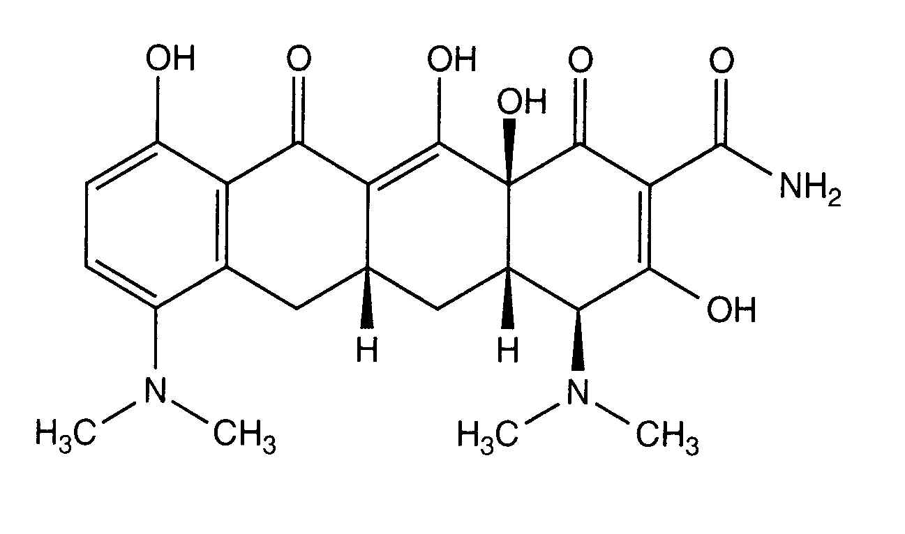
   Kjemisk struktur  

Handelsnavn   Handelsnavn     

Handelsnavn er veiledende og sammensetning av hjelpestoffer kan være forskjellig avhengig av land og produsent

Minocin USA
Oppløsningsstabilitet   Injeksjon   Oppløsningsstabilitet : Minocycline hydrochloride     
Beholder Oppløsningsmiddel Konsentrasjon Temperatur Oppbevaring Varighet av stabilitet Referanser
Polyvinylklorid Natriumklorid 0,9 % 0,1 mg/ml 24°C Ikke angitt
7 Dag
263
Bevisgrad B+

Polyvinylklorid Natriumklorid 0,9 % 0,1 mg/ml 4°C Ikke angitt
7 Dag
263
Bevisgrad B+

Polyvinylklorid Glukose 5 % 0,1 mg/ml 24°C Ikke angitt
7 Dag
263
Bevisgrad B+

Polyvinylklorid Glukose 5 % 0,1 mg/ml 4°C Ikke angitt
7 Dag
263
Bevisgrad B+


  Mentions Légales