Ostatnia aktualizacja :
03/02/2026
Antybiotyk   Minocycline hydrochloride  
Injekcje
Roztwór doustny
Trwałość roztworów Trwałość w mieszaninie Czynnik wpływający na trwałość Zgodność Sposób podania Bibliografia pdf
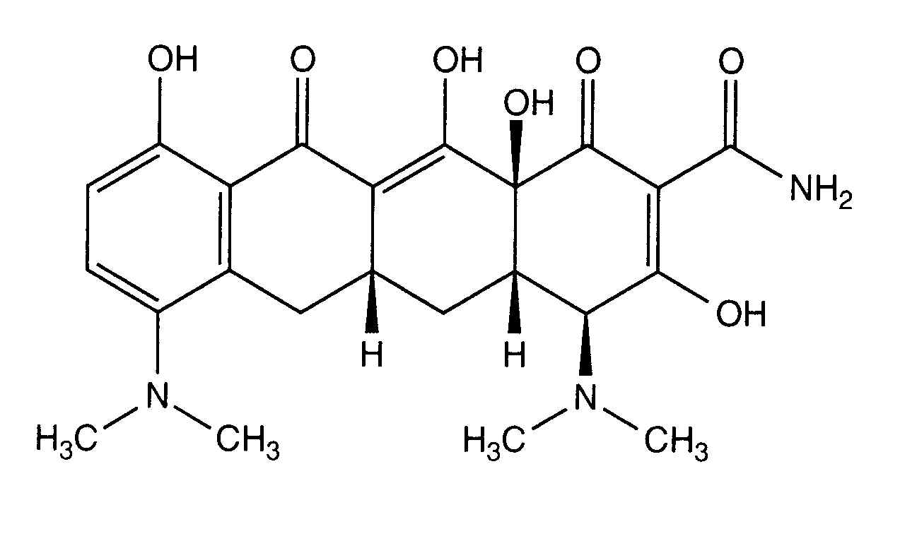
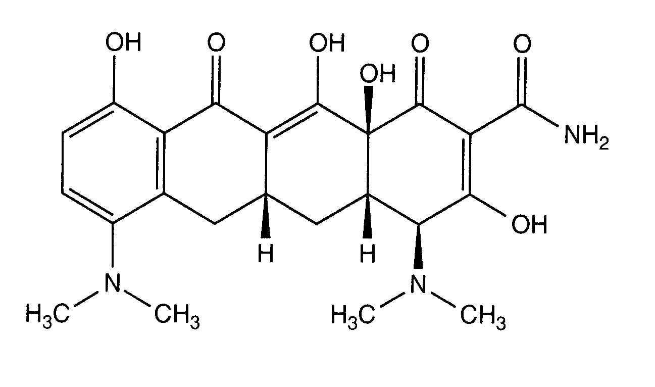
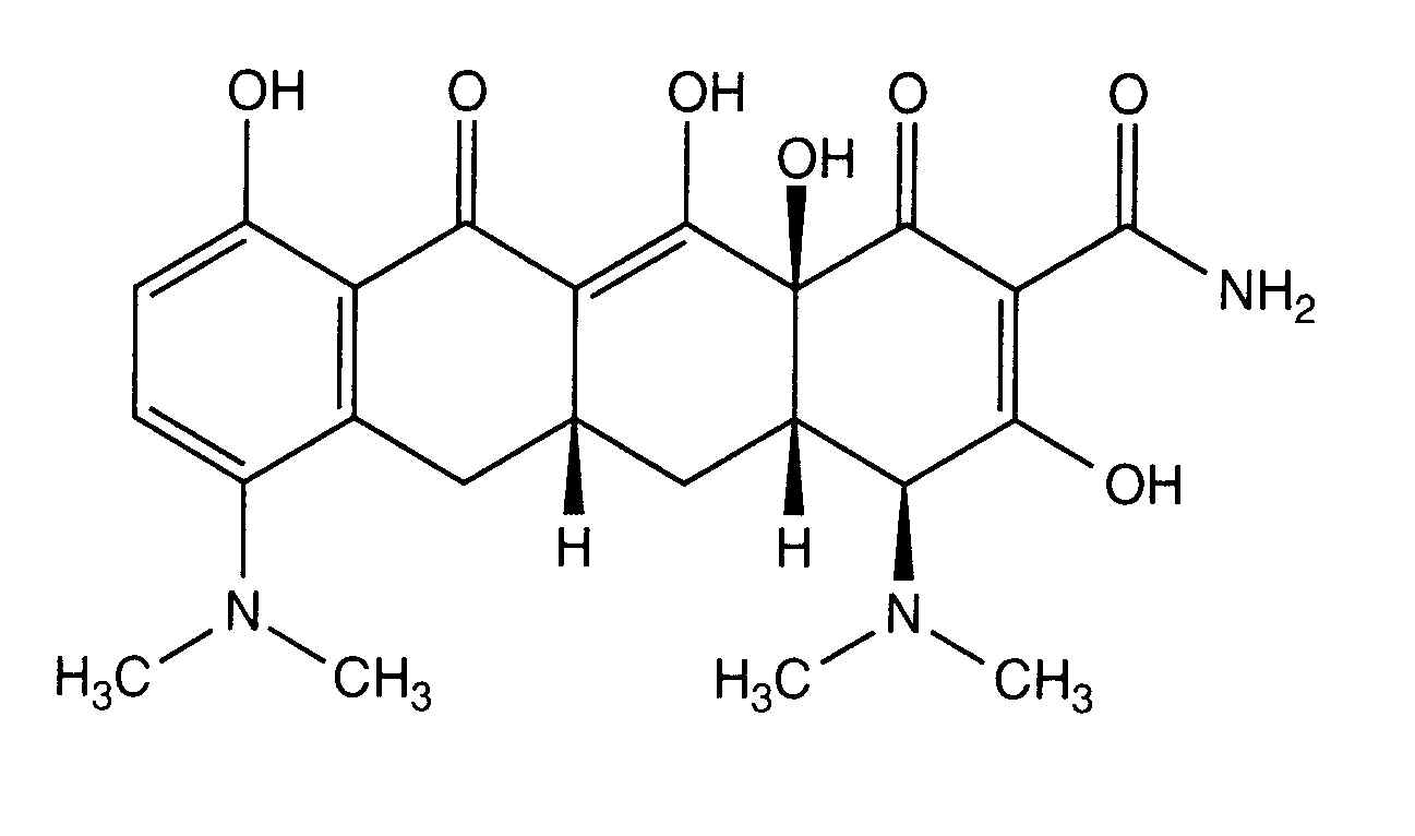
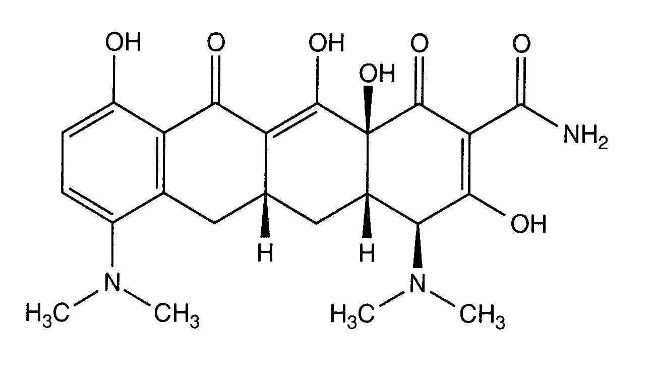
   Struktura chemiczna  

Nazwa handlowa   Nazwa handlowa     

Trade names are indicative and excipients composition can be different depending on the country and manufacturers

Minocin Stany Zjednoczone Ameryki
Trwałość roztworów   Injekcje   Trwałość roztworów : Minocycline hydrochloride     
Pojemnik Rozpuszczalnik Stężenie Temperatura Przechowywanie Czas trwania stabilności Bibliografia
Polichlorek winylu Chlorek sodu 0,9% 0,1 mg/ml 24°C Nie wyszczególniony
7 Dzień
263
Poziom wiarygodności B+

Polichlorek winylu Chlorek sodu 0,9% 0,1 mg/ml 4°C Nie wyszczególniony
7 Dzień
263
Poziom wiarygodności B+

Polichlorek winylu Glukoza 5% 0,1 mg/ml 24°C Nie wyszczególniony
7 Dzień
263
Poziom wiarygodności B+

Polichlorek winylu Glukoza 5% 0,1 mg/ml 4°C Nie wyszczególniony
7 Dzień
263
Poziom wiarygodności B+


  Mentions Légales