Ultimele actualizari :
18/03/2026
Vasodilatator   Isosorbide dinitrate  
Injectabil
Stabilitatea in solutie Stabilitatea in amestec Factorii care influenteaza stabilitatea Compatibilitate Microunde Bibliografie pdf
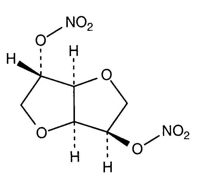
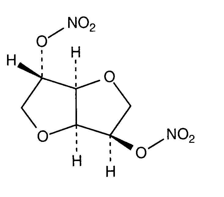
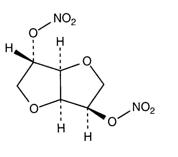
   Formula chimica  

Denumirea comerciala   Denumirea comerciala     

Trade names are indicative and excipients composition can be different depending on the country and manufacturers

Angsobide Malaezia
Cedocard Olanda
Diniket Italia
Dinit Marea Britanie
Ekilbran Mexic
Isoket Arabia Saudita, Austria, Egipt, Elvetia, Emiratele Arabe Unite, Irlanda, Luxemburg, Malaezia, Marea Britanie, Mexic, Peru, Polonia, Portugalia, Venezuela
Isonit Ecuador, Peru
Nitrosid Finlanda
Nitrosorbide Italia
Risordan Franta
Zanisor Mexic
Stabilitatea in amestec   Injectabil   Stabilitatea in amestec : Isosorbide dinitrate     
Absenta de date

  Mentions Légales