Последнее обновление :
18/03/2026
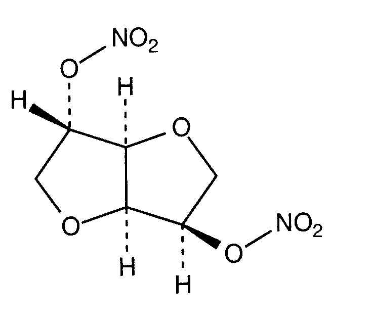
Сосудорасширяющее средство   Isosorbide dinitrate  
Инъекция
Стабильность растворов Стабильность смесей Факторы, которые влияют на стабильность Совместимость Способы введения Библиография pdf
   Химическая структура  

Товарное название   Товарное название     

Trade names are indicative and excipients composition can be different depending on the country and manufacturers

Angsobide Малайзия
Cedocard Голландия
Diniket Италия
Dinit Великобритания
Ekilbran Мексика
Isoket Австрия, Великобритания, Венесуэла, Египет, Ирландия, Люксембург, Малайзия, Мексика, Объединенные Арабские Эмираты, Перу, Польша, Португалия, Саудовская Аравия, Швейцария
Isonit Перу, Эквадор
Nitrosid Финляндия
Nitrosorbide Италия
Risordan Франция
Zanisor Мексика
Стабильность смесей   Инъекция   Стабильность смесей : Isosorbide dinitrate     
данных нет

  Mentions Légales