Ultimo aggiornamento :
18/03/2026
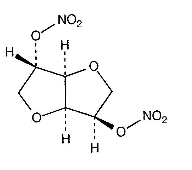
Vasodilatatore   Isosorbide dinitrate  
Iniezione
Stabilità in soluzione Stabilità in miscela Fattori che influenzano la stabilità Compatibilità metodo di iniezione Bibliografia pdf
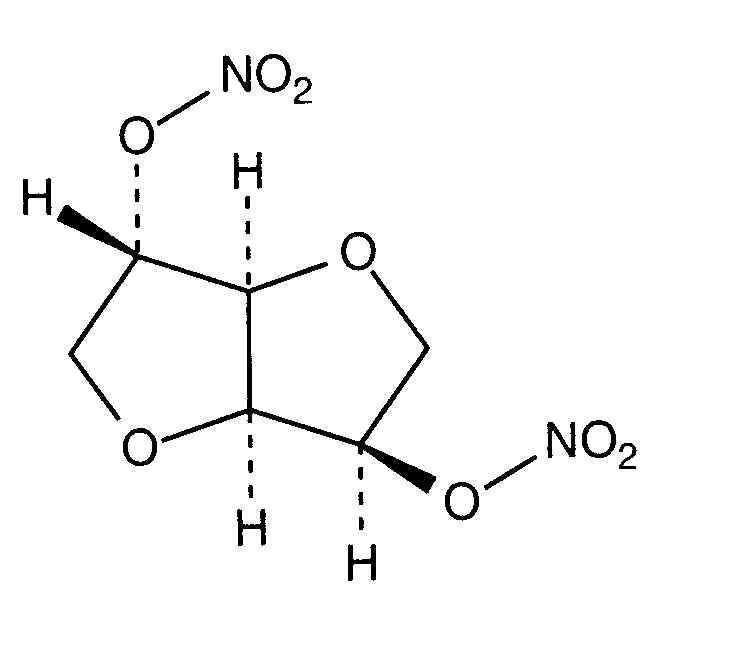
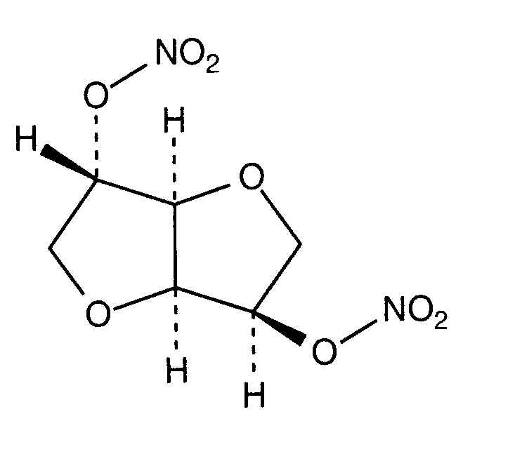
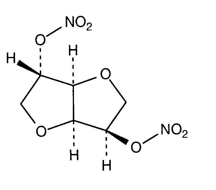
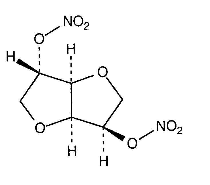
   Struttura chimica  

Nome commerciale   Nome commerciale     

Trade names are indicative and excipients composition can be different depending on the country and manufacturers

Angsobide Malaysia
Cedocard Paesi Bassi
Diniket Italia
Dinit Gran Bretagna
Ekilbran Messico
Isoket Arabia Saudita, Austria, Egitto, Emirati Arabi Uniti, Gran Bretagna, Irlanda, Lussemburgo, Malaysia, Messico, Perù, Polonia, Portogallo, Svizzera, Venezuela
Isonit Ecuador, Perù
Nitrosid Finlandia
Nitrosorbide Italia
Risordan Francia
Zanisor Messico
Stabilità in miscela   Iniezione   Stabilità in miscela : Isosorbide dinitrate     
Assenza di dati

  Mentions Légales