Utolsó frissítés :
18/03/2026
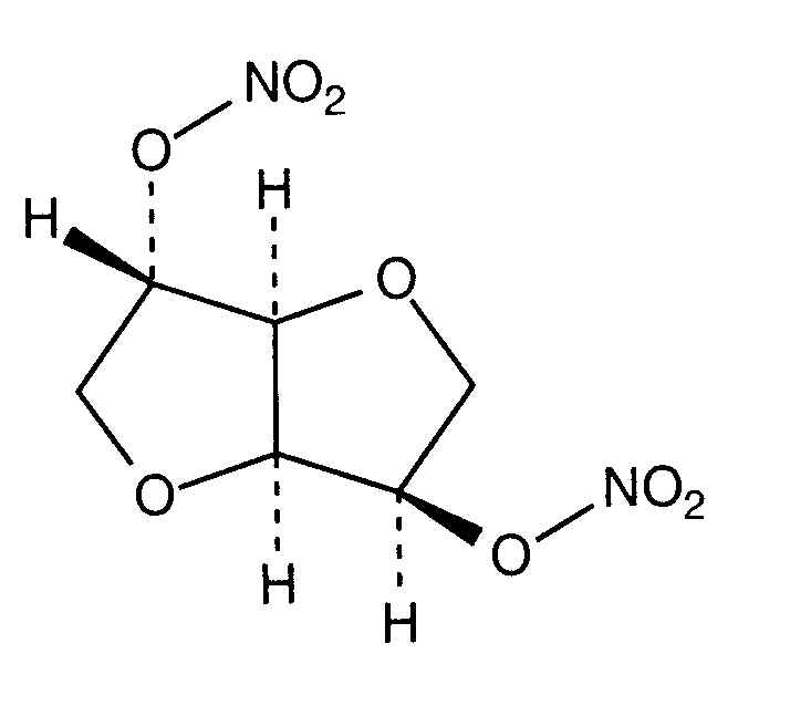
Értágító   Isosorbide dinitrate  
Injekció
Az oldatok stabilitása A keverékek stabilitása Stabilitást befolyásoló tényezők Kompatibilitás Az alkalmazás módja Irodalom pdf
   Kémiai szerkezet   

Kereskedelmi név   Kereskedelmi név     

A kereskedelmi név meghatározó jelentőségű: a készítmények összetétele országonként, előállítóként eltérő lehet

Angsobide Malaysia
Cedocard Hollandia
Diniket Olaszország
Dinit Nagy-Britannia
Ekilbran Mexikó
Isoket Ausztria, Egyesült Arab Emírségek, Egyiptom, Írország, Lengyelország, Luxemburg, Malaysia, Mexikó, Nagy-Britannia, Peru, Portugália, Svájc, Szaúd-Arábiában, Venezuela
Isonit Ecuador, Peru
Nitrosid Finnország
Nitrosorbide Olaszország
Risordan Franciaország
Zanisor Mexikó
A keverékek stabilitása   Injekció   A keverékek stabilitása : Isosorbide dinitrate     
Hiányzó adat

  Mentions Légales