Viimeisin päivitys :
18/03/2026
Vasodilataattorit   Isosorbide dinitrate  
Injektioneste
Stabilius liuoksessa Stabilius seoksissa Tekijät, jotka vaikuttavat stabiliuteen Yhteensopivuus Antotapa Viitteet pdf
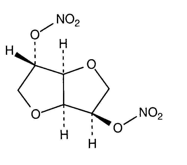
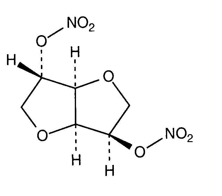
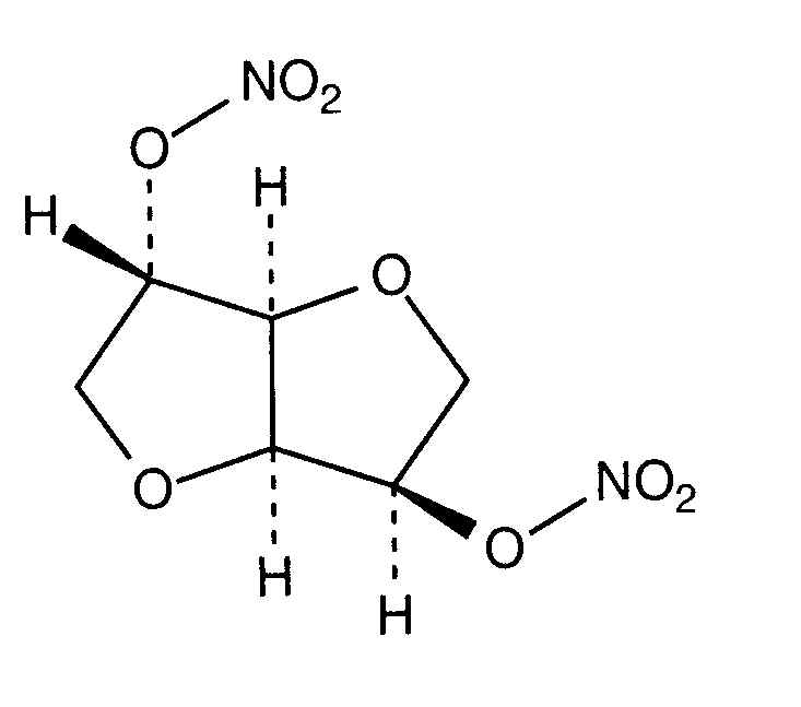
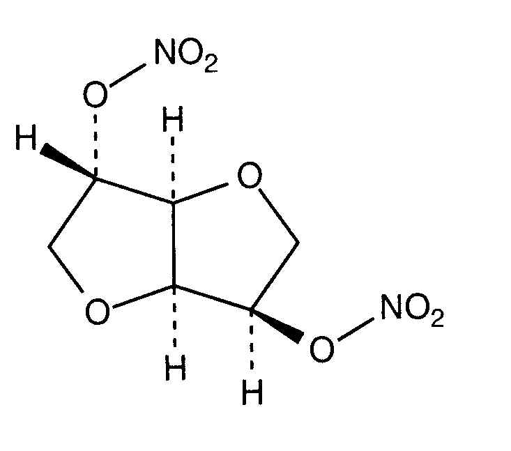
   Kemiallinen rakenne  

Kauppanimi   Kauppanimi     

Trade names are indicative and excipients composition can be different depending on the country and manufacturers

Angsobide Malesia
Cedocard Hollanti
Diniket Italia
Dinit Iso-Britannia
Ekilbran Meksiko
Isoket Egypti, Irlanti, Iso-Britannia, Itävalta, Luxemburg, Malesia, Marokko, Meksiko, Portugali, Puola, Saudi-Arabia, Sveitsi, Venezuela, Yhdistyneet arabiemiirikunnat
Isonit Ecuador, Marokko
Nitrosid Suomi
Nitrosorbide Italia
Risordan Ranska
Zanisor Meksiko
Antotapa   Antotapa :Isosorbide dinitrate     
Voie
Intravenoosi-infuusio
Intra-arteriaalinen

  Mentions Légales