zadnja posodobitev :
18/03/2026
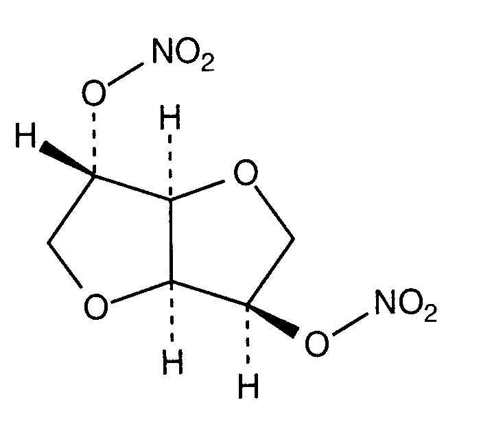
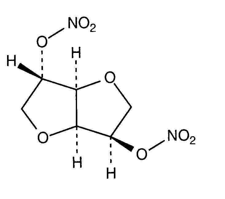
Vazodilatator   Isosorbide dinitrate  
Brizgalka
Stabilnost raztopine Stabilnost mešanice Faktorji, ki vplivajo na stabilnost Kompatibilnost način aplikacije Viri pdf
   Kemična formula  

Lastniško ime   Lastniško ime     

Sestava pomožnih snovi je med paralelami lahko različna

Angsobide Malezija
Cedocard Nizozemska
Diniket Italija
Dinit Velika Britanija
Ekilbran Mehika
Isoket Avstrija, Egipt, Irska, Luksemburg, Malezija, Mehika, Peru, Poljska, Portugalska, Savdska Arabija, Švica, Velika Britanija, Venezuela, Združeni arabski emirati
Isonit Ekvador, Peru
Nitrosid Finska
Nitrosorbide Italija
Risordan Francija
Zanisor Mehika
način aplikacije   način aplikacije :Isosorbide dinitrate     
Voie
Intravenska infuzija
intraarterijsko

  Mentions Légales