آخر تحديث :
18/03/2026
موسع الشرايين   Isosorbide dinitrate  
حقن
الاستقرار في حلول استقرار مخاليط العوامل التي تؤثر على الاستقرار التوافق طريقة التعاطي مراجع pdf
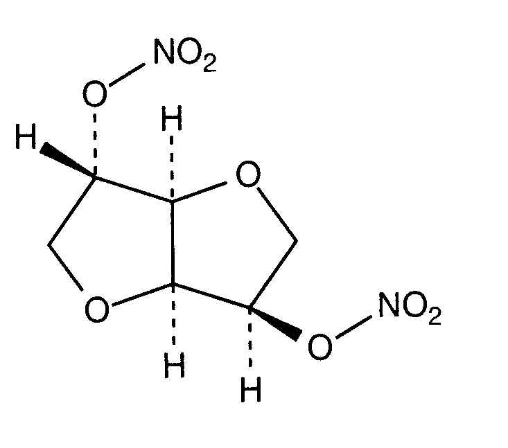
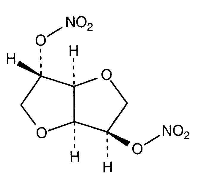
   التركيب الكيميائي  

حجز الاسم التجاري   حجز الاسم التجاري     

تحذير الأسماء التجاريه المختلفه قد تحتوي علي محتوي إضافات مختلفة حسب الدوله و المعمل

Angsobide ماليزيا
Cedocard هولندا
Diniket إيطاليا
Dinit بريطانيا العظمي
Ekilbran المكسيك
Isoket الإمارات العربية المتحدة, البرتغال, العربية السعودية, المكسيك, النمسا, ايرلندا, بريطانيا العظمي, بولندا, بيرو, سويسرا, فنزويلا, لوكسمبورغ, ماليزيا, مصر
Isonit الإكوادور, بيرو
Nitrosid فنلندا
Nitrosorbide إيطاليا
Risordan فرنسا
Zanisor المكسيك
طريقة التعاطي   طريقة التعاطي :Isosorbide dinitrate     
Voie
الحقن الوريدي   المستمر
الحقن الشرايين

  Mentions Légales