Poslední aktualizace :
18/03/2026
Vasodilatans   Isosorbide dinitrate  
injekce
Stabilita roztoků Stabilita směsí Faktory ovlivňující stabilitu Kompatibilita Způsoby aplikace Odkazy pdf
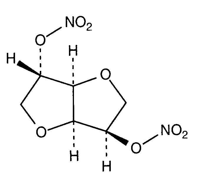
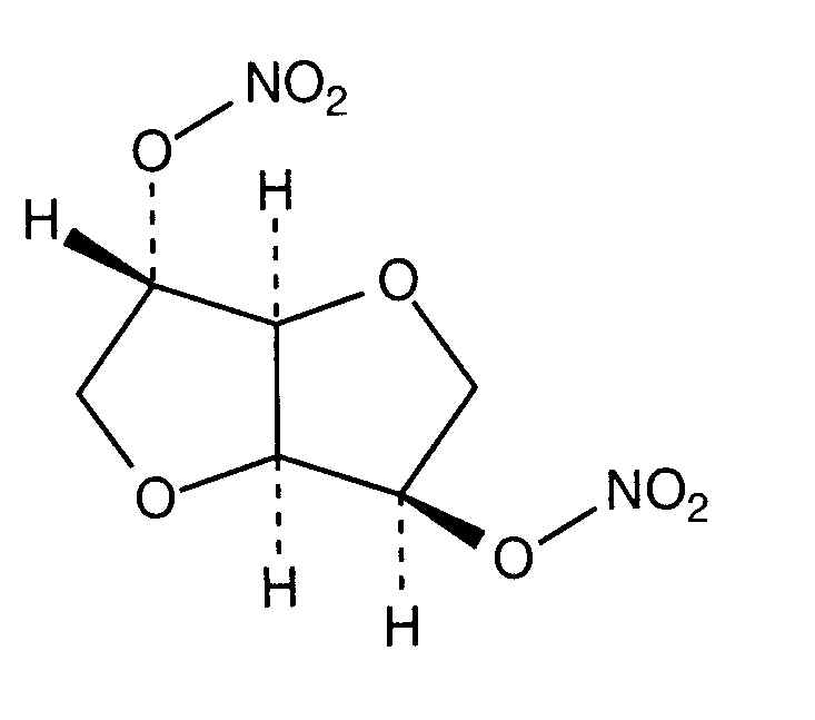
   Chemický vzorec  

Obchodní název   Obchodní název     

Trade names are indicative and excipients composition can be different depending on the country and manufacturers

Angsobide Malajsie
Cedocard Nizozemsko
Diniket Itálie
Dinit Velká Británie
Ekilbran Mexiko
Isoket Egypt, Irsko, Lucembursko, Malajsie, Mexiko, Peru, Polsko, Portugalsko, Rakousko, Saúdská Arábie, Spojené arabské emiráty, Švýcarsko, Velká Británie, Venezuela
Isonit Ekvádor, Peru
Nitrosid Finsko
Nitrosorbide Itálie
Risordan Francie
Zanisor Mexiko
Způsoby aplikace   Způsoby aplikace :Isosorbide dinitrate     
Voie
Intravenózní infúze
intraarteriálně

  Mentions Légales