Son güncelleme :
18/03/2026
Diüretik   Spironolactone  
Merhem
Oral solüsyon / oral çözelti
Farmasötik preparatlar Kararlılığı Karışımlardaki stabilitesi Stabiliteyi etkileyen faktörler Uyumluluk Kaynaklar pdf
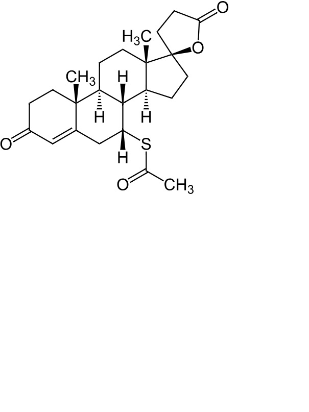
   Kimyasal yapı   

Merhem

Stabiliteyi etkileyen faktörler    Merhem   Stabiliteyi etkileyen faktörler : Spironolactone        
veri yok

  Mentions Légales