Last update :
18/03/2026
Diuretic   Spironolactone  
Ointments
Oral solution
Stability of pharmaceutical preparations Stability of mixtures Factors which affect stability Compatibility References pdf
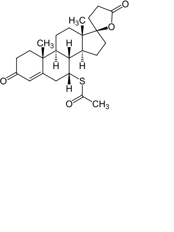
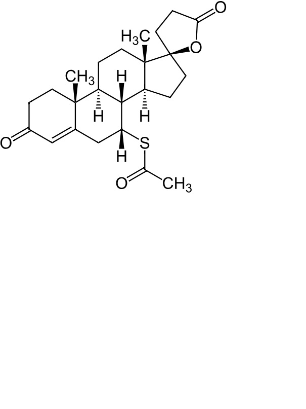
   Chemical structure  

Ointments

Factors which affect stability   Ointments   Factors which affect stability : Spironolactone        
No data

  Mentions Légales