Pēdējā atjaunošana :
18/03/2026
Diurētiķis   Spironolactone  
Ziedes
Orāls šķīdums
Stabilitāte farmaceitisko preparātu Maisījuma stabilitāte Stabilitāti ietekmējoši faktori Saderība Literatūras saraksts pdf
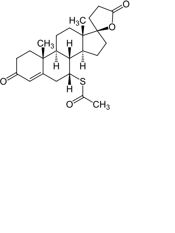
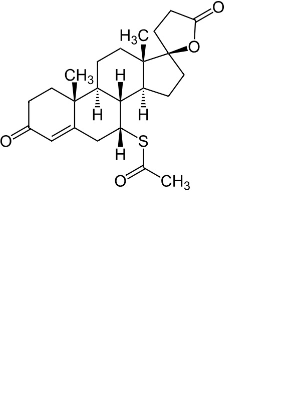
   Ķīmiskā uzbūve   

Ziedes

Stabilitāti ietekmējoši faktori   Ziedes   Stabilitāti ietekmējoši faktori : Spironolactone        
Nav datu

  Mentions Légales