Dernière mise à jour :
27/11/2025
Diurétique   Spironolactone  
Forme dermique
Solution buvable
Stabilité des préparations Stabilité en mélange Facteur influençant la stabilité Compatibilités Bibliographie pdf
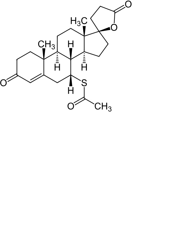
   Structure chimique  

Forme dermique

Facteur influençant la stabilité   Forme dermique   Facteur influençant la stabilité : Spironolactone        
Aucune donnée

  Mentions Légales