Senaste uppdateringen :
27/11/2025
Diuretikum   Spironolactone  
Salvor
Oral lösning
Stabilitet av läkemedel Stabilitet i blandningar Faktorer som påverkar stabiliteten Kompatibilitet Hänvisningar pdf
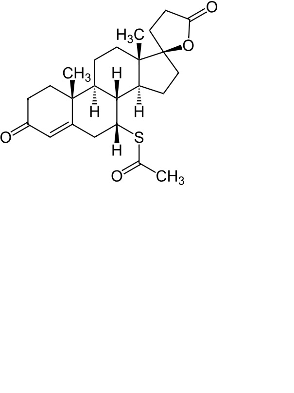
   Molekylstruktur  

Salvor

Faktorer som påverkar stabiliteten   Salvor   Faktorer som påverkar stabiliteten : Spironolactone        
Ingen uppgift

  Mentions Légales