Poslední aktualizace :
18/03/2026
Diuretikas   Spironolactone  
Tepalai
Geriamas tirpalas
Stabilumas farmacinių preparatų Mišinių stabilumas Stabilumą lemiantys veiksniai Suderinamumas Bibliografija pdf
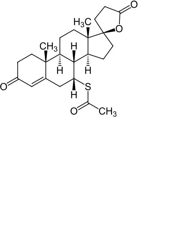
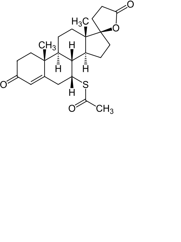
   Cheminė sandara  

Tepalai

Stabilumą lemiantys veiksniai   Tepalai   Stabilumą lemiantys veiksniai : Spironolactone        
Nėra duomenų

  Mentions Légales