Последно актуализиране :
18/03/2026
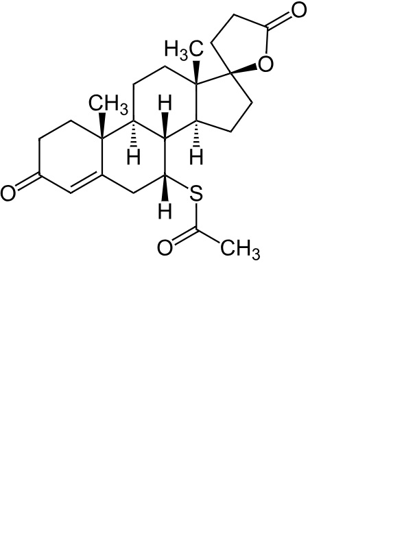
Диуретик   Spironolactone  
Унгвент/Унгвенти
Орален разтвор
Стабилност на лекарствени препарати Стабилност на смеси Фактори, повлияващи стабилността Съвместимост Библиография Pdf
   Химична структура  

Унгвент/Унгвенти

Фактори, повлияващи стабилността   Унгвент/Унгвенти   Фактори, повлияващи стабилността : Spironolactone        
Няма данни

  Mentions Légales