Последнее обновление :
27/11/2025
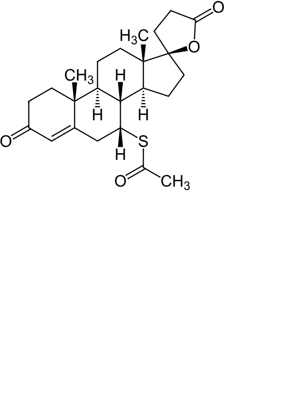
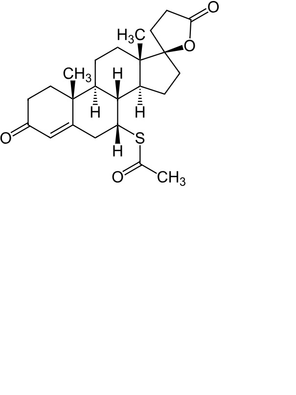
Диуретик   Spironolactone  
Мази
Раствор для перорального приёма
Стабильность фармацевтических препаратов Стабильность смесей Факторы, которые влияют на стабильность Совместимость Библиография pdf
   Химическая структура  

Мази

Факторы, которые влияют на стабильность   Мази   Факторы, которые влияют на стабильность : Spironolactone        
данных нет

  Mentions Légales