Última actualización :
18/03/2026
Antibiótico   Dapsone  
Preparaciones tópicas
Solución Oral
La estabilidad de las preparaciones farmacéuticas Estabilidad en mezcla Factores que influyen sobre la estabilidad Compatibilidades Bibliografía pdf
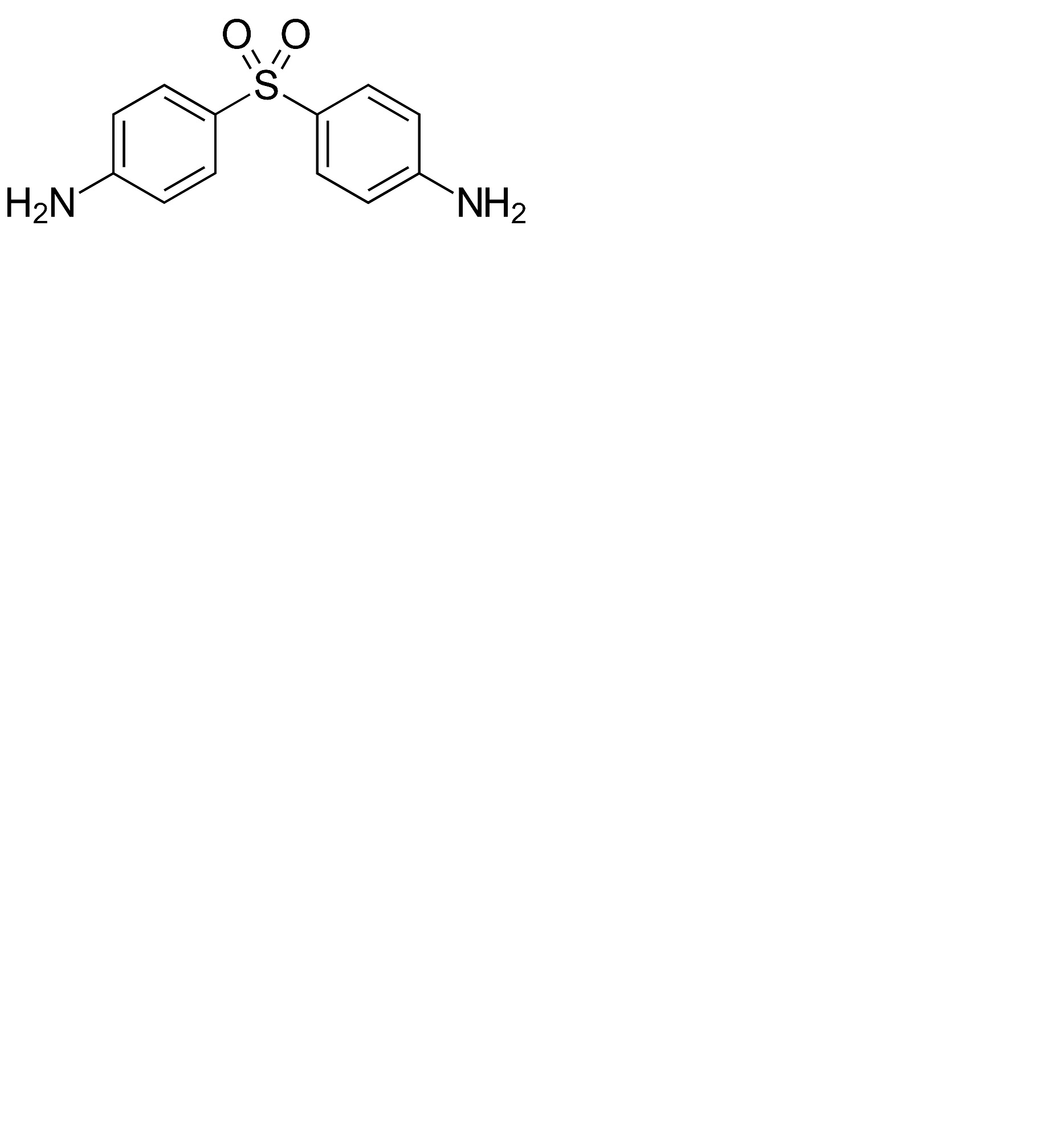
   Estructura química  

Preparaciones tópicas
Bibliografía   Preparaciones tópicas   Bibliografía : Dapsone  
Tipo Publicación
4879 periódico Marianni B, Mansourian M, Koulouridas S, Polonini H.
Compatibility of Active Pharmaceutical Ingredients in Cleoderm: A Comprehensive Study for Enhanced Topical Dermatological Treatments.
Int J Pharm Compound 2024 ;28,5:413-422

  Mentions Légales