Pēdējā atjaunošana :
27/11/2025
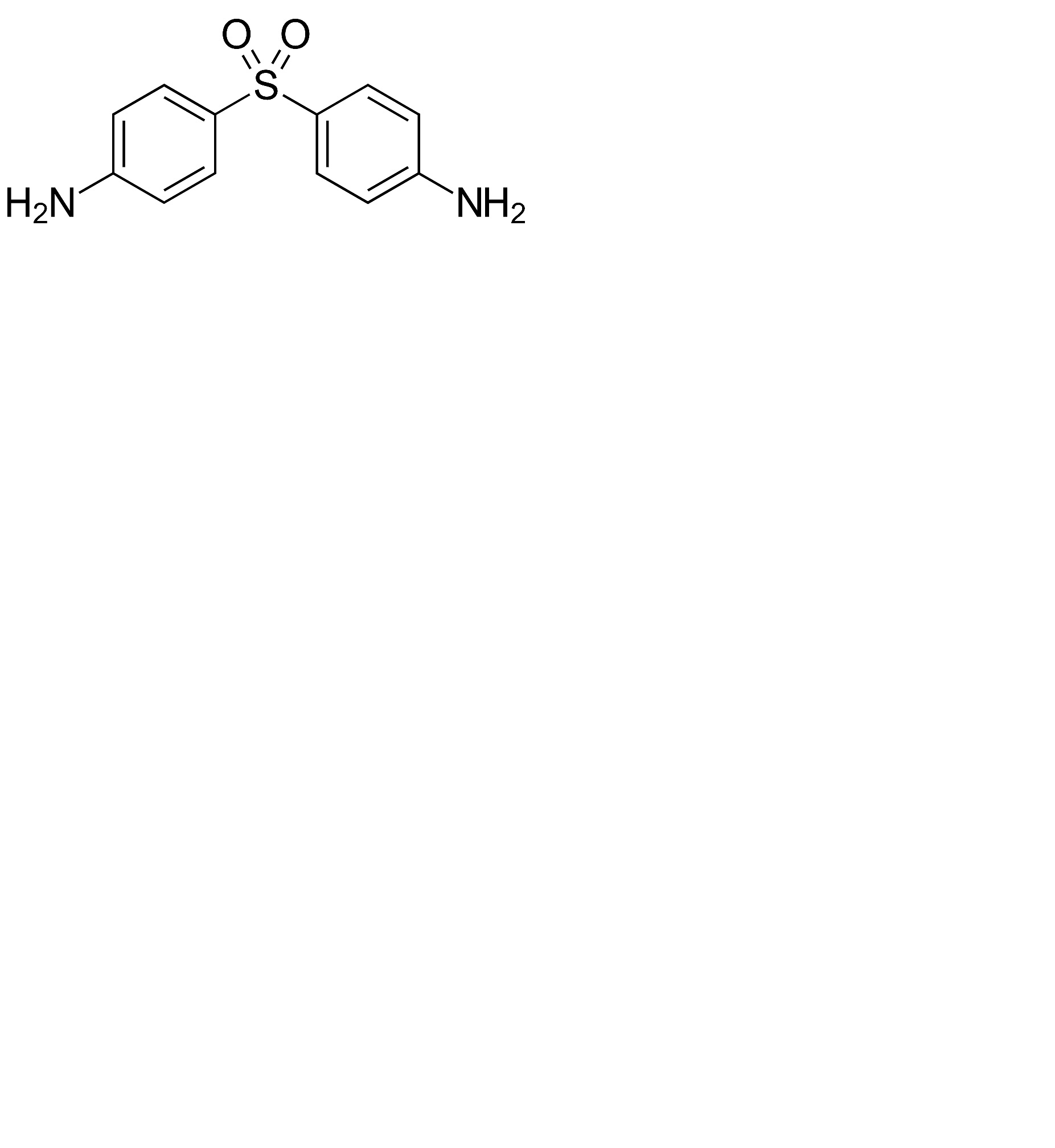
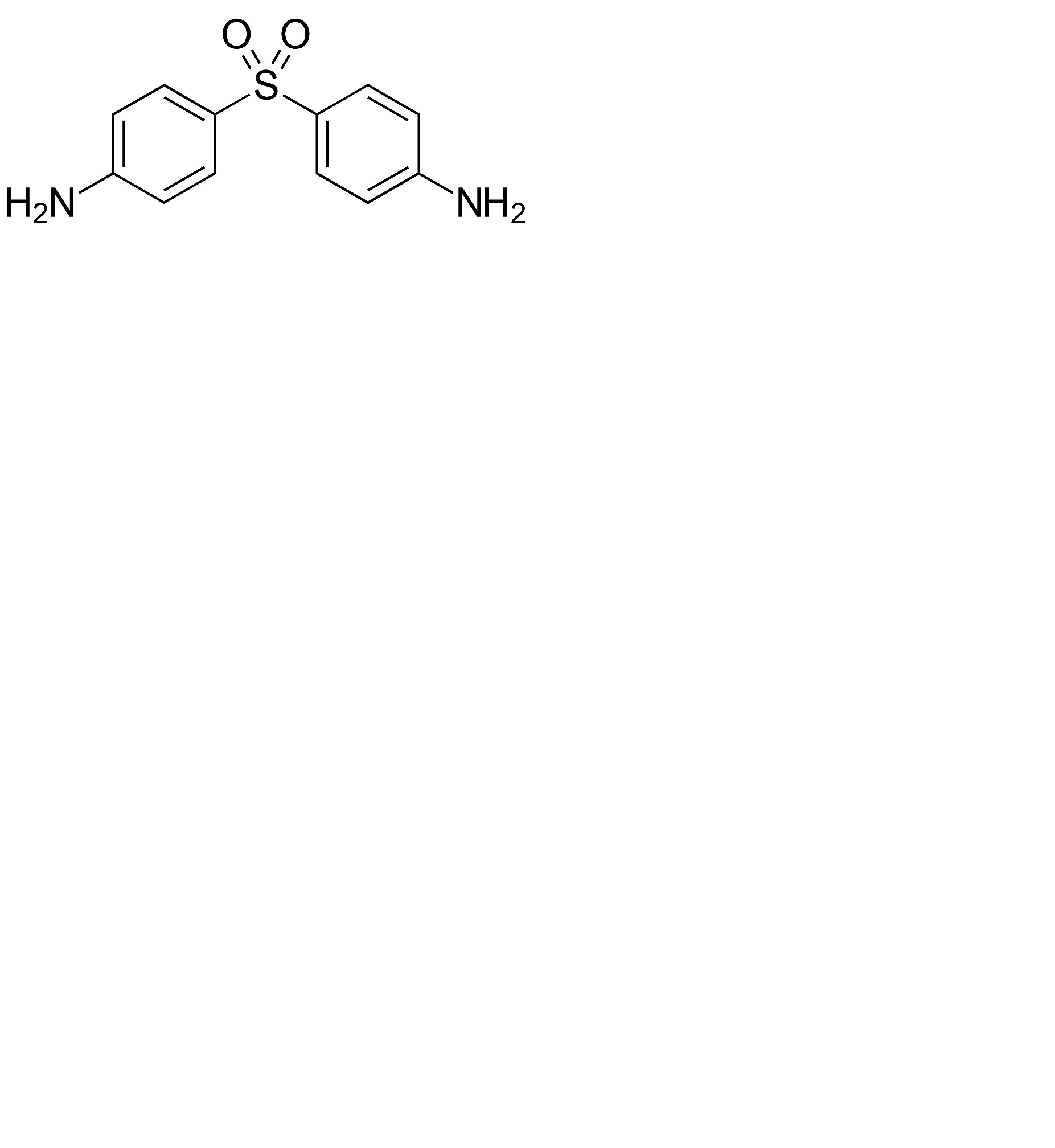
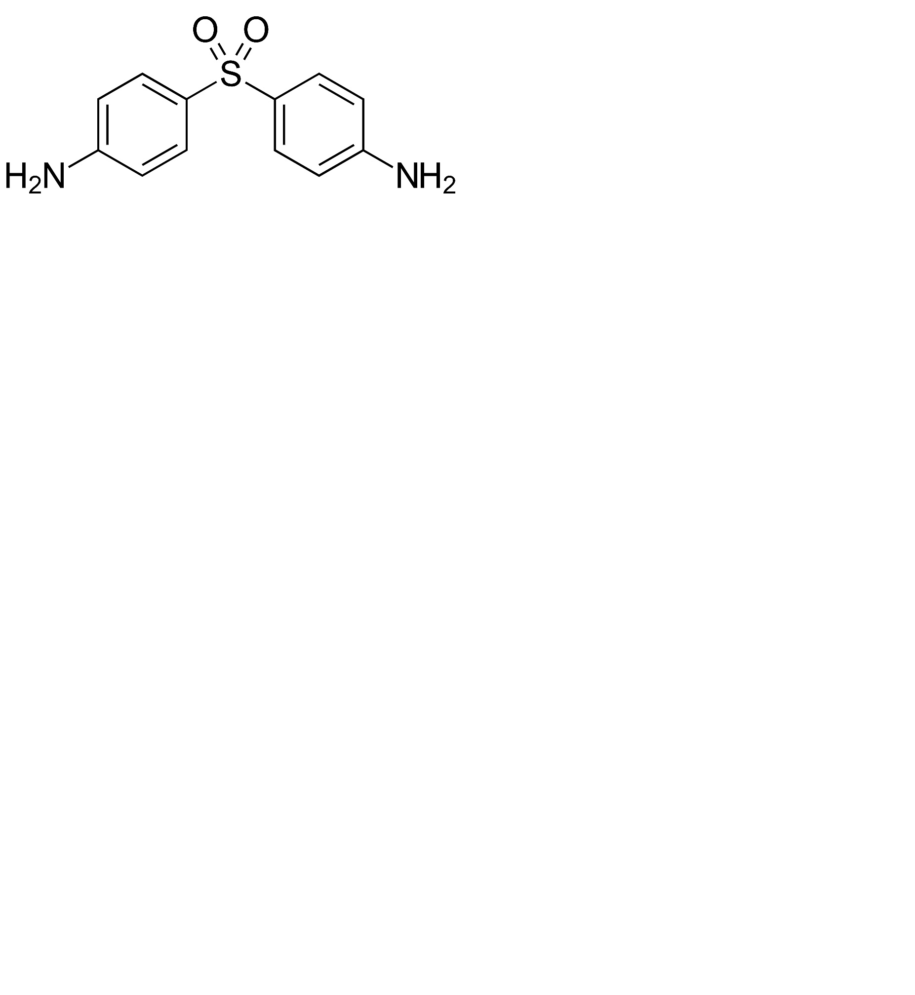
Antibiotika   Dapsone  
Ziedes
Orāls šķīdums
Stabilitāte farmaceitisko preparātu Maisījuma stabilitāte Stabilitāti ietekmējoši faktori Saderība Literatūras saraksts pdf
   Ķīmiskā uzbūve   

Ziedes
Literatūras saraksts   Ziedes   Literatūras saraksts : Dapsone  
tips publicēšana
4879 Žurnāls Marianni B, Mansourian M, Koulouridas S, Polonini H.
Compatibility of Active Pharmaceutical Ingredients in Cleoderm: A Comprehensive Study for Enhanced Topical Dermatological Treatments.
Int J Pharm Compound 2024 ;28,5:413-422

  Mentions Légales