Ultimele actualizari :
18/03/2026
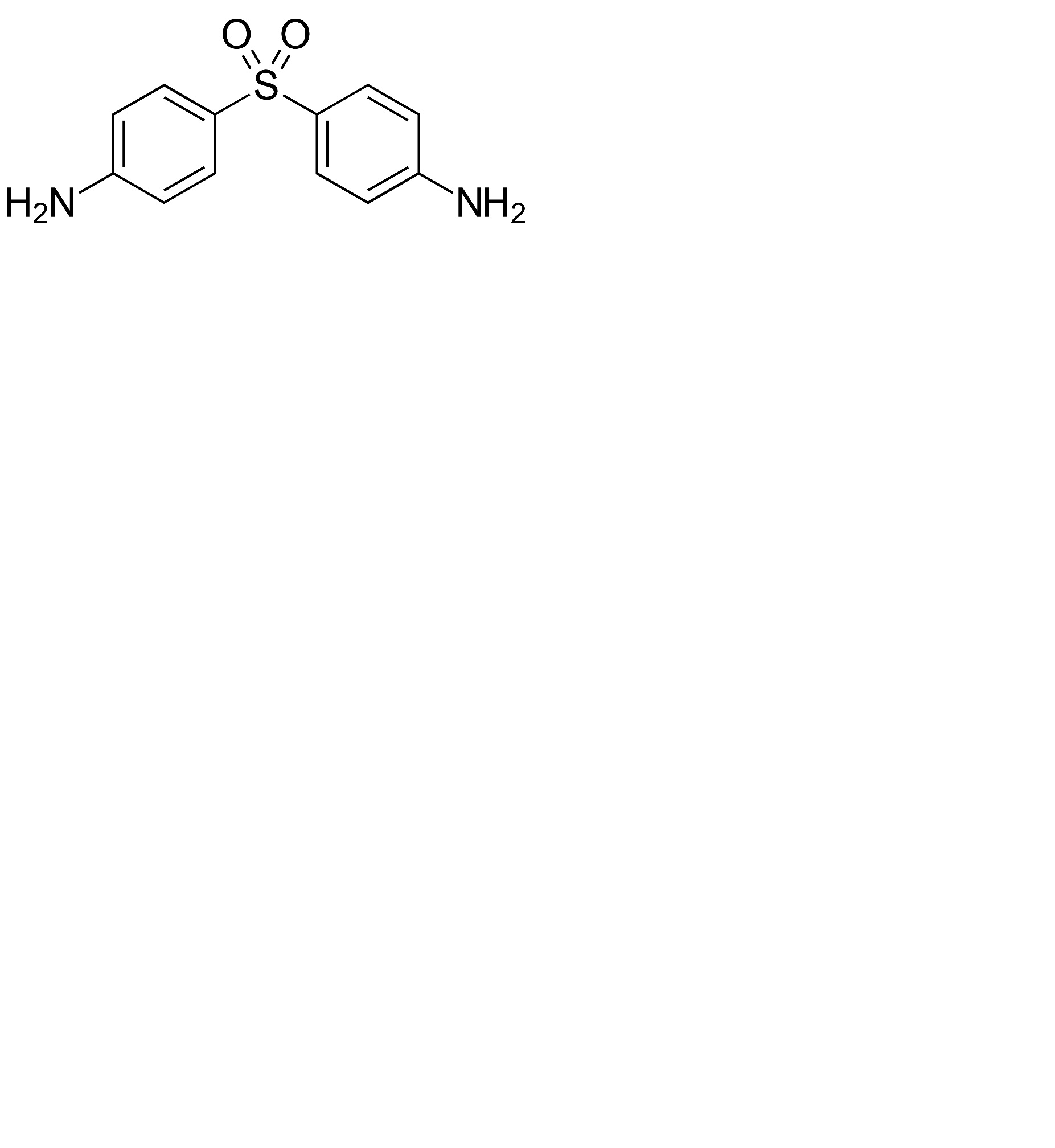
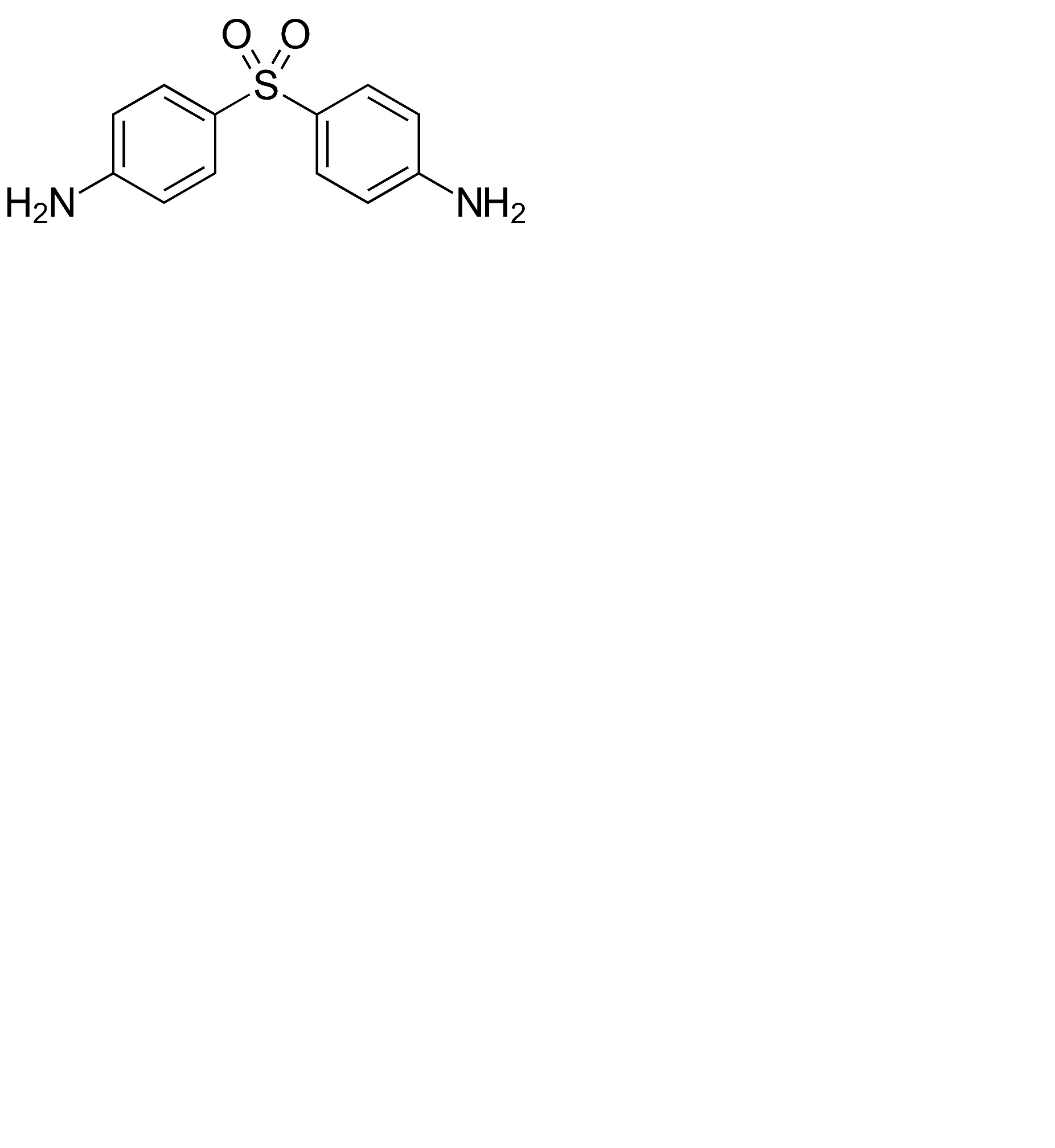
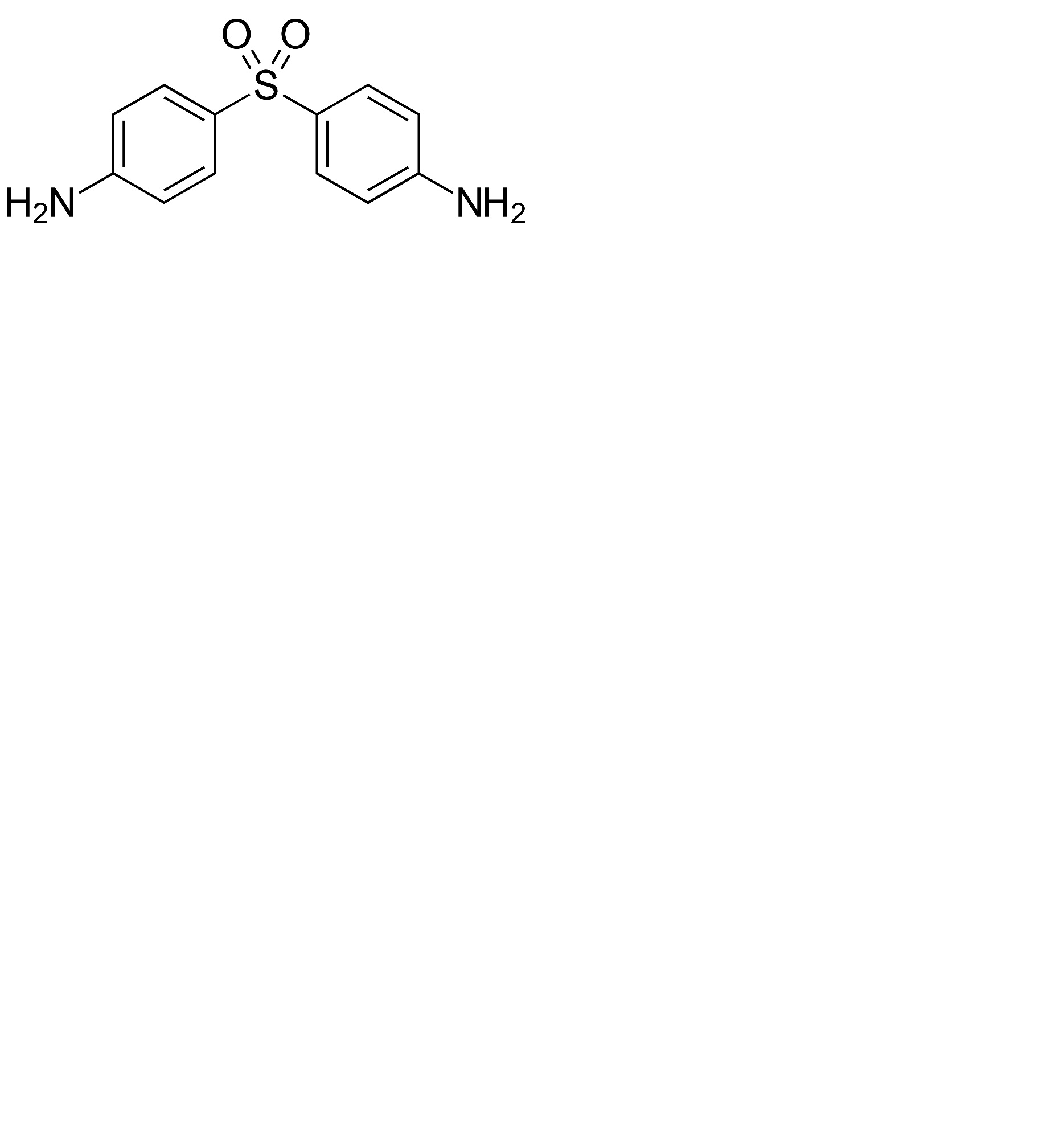
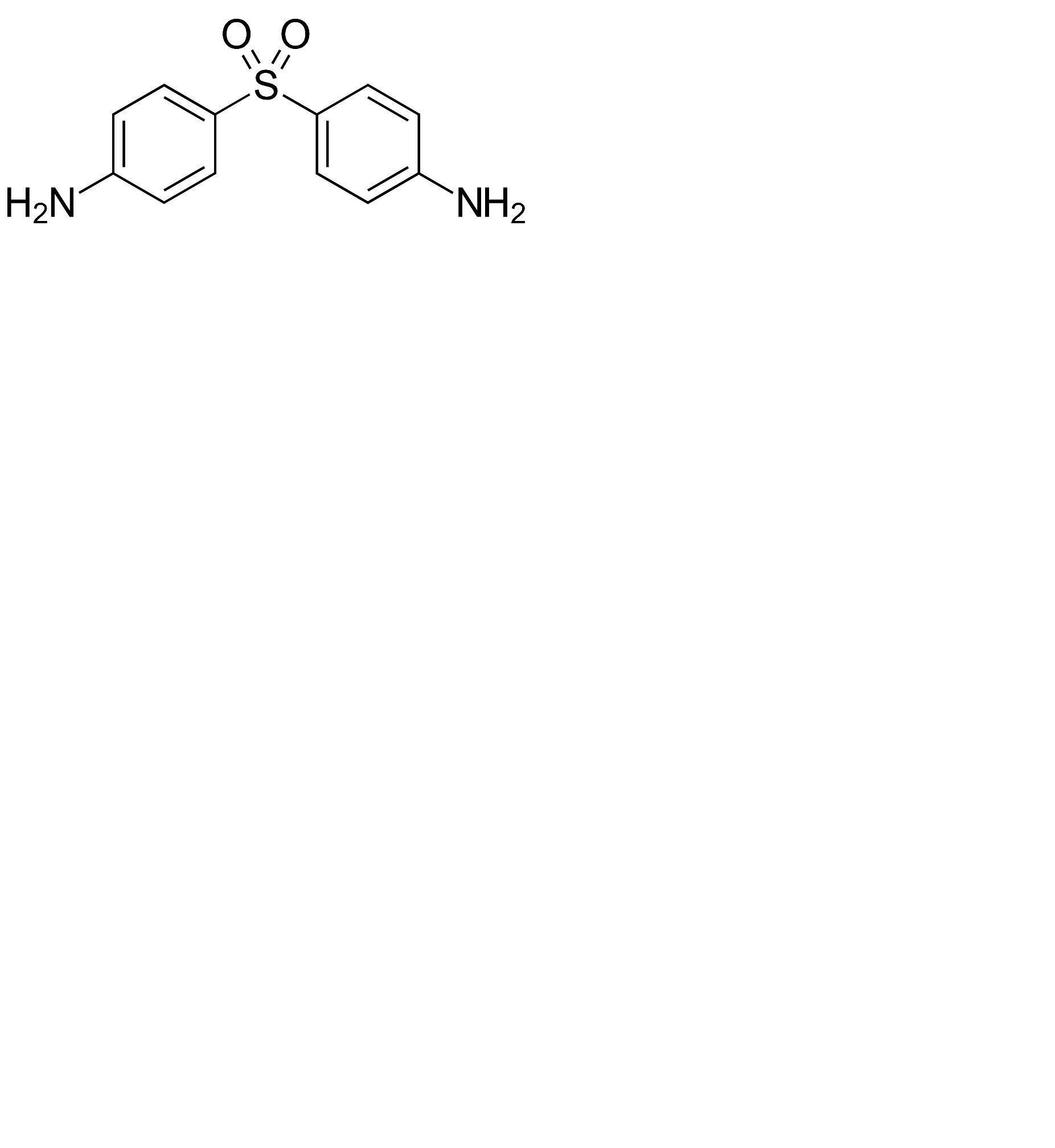
Antibiotic   Dapsone  
Unguente
Soluţie orală
Stabilitatea preparatelor farmaceutice Stabilitatea in amestec Factorii care influenteaza stabilitatea Compatibilitate Bibliografie pdf
   Formula chimica  

Unguente
Bibliografie   Unguente   Bibliografie : Dapsone  
tip publicare
4879 ziar Marianni B, Mansourian M, Koulouridas S, Polonini H.
Compatibility of Active Pharmaceutical Ingredients in Cleoderm: A Comprehensive Study for Enhanced Topical Dermatological Treatments.
Int J Pharm Compound 2024 ;28,5:413-422

  Mentions Légales