Posledná aktualizácia :
27/11/2025
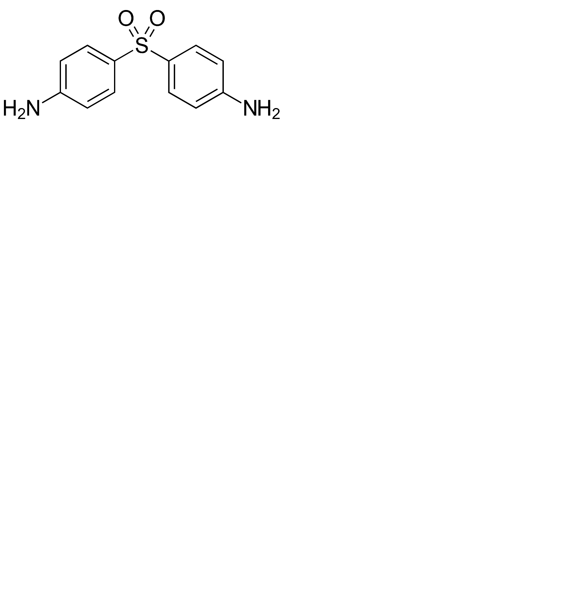
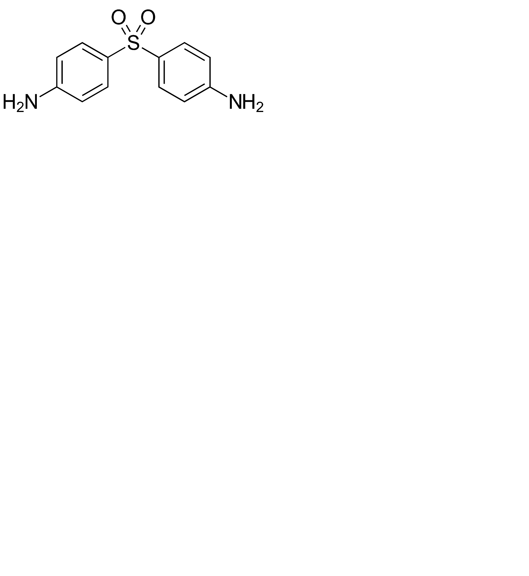
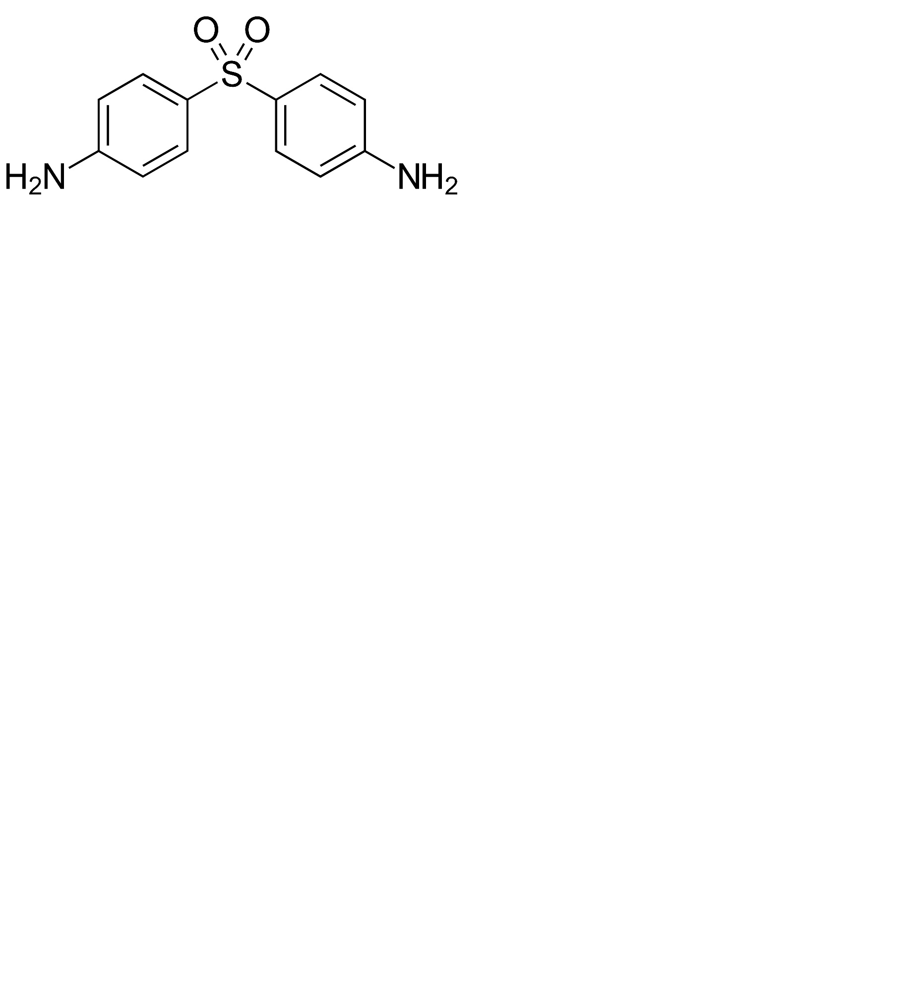
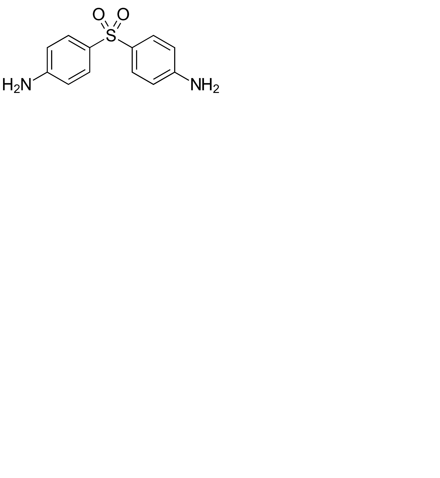
antibiotikum   Dapsone  
Dermálny prípravok
Perorálny roztok
Stabilita farmaceutických prípravkov Stabilita v zmesiach Faktory ovplyvňujúce stabilitu Kompatibility Odkazy na literatúru PDF
   Chemický vzorec  

Dermálny prípravok
Odkazy na literatúru   Dermálny prípravok   Odkazy na literatúru : Dapsone  
Typ Publikácia
4879 Časopis Marianni B, Mansourian M, Koulouridas S, Polonini H.
Compatibility of Active Pharmaceutical Ingredients in Cleoderm: A Comprehensive Study for Enhanced Topical Dermatological Treatments.
Int J Pharm Compound 2024 ;28,5:413-422

  Mentions Légales