fermer
Zadnji put ažurirano :
17/12/2025
Infostab
Liste
Liste sazetaka
Potražite kompatibilnosti
Tablica kompatibilnosti Y-mjesta
Bibliografija
istraživačkih timova
valistab
Plakat
Linkovi
sponzori
Autor
Priručnik za korisnike
Bilten
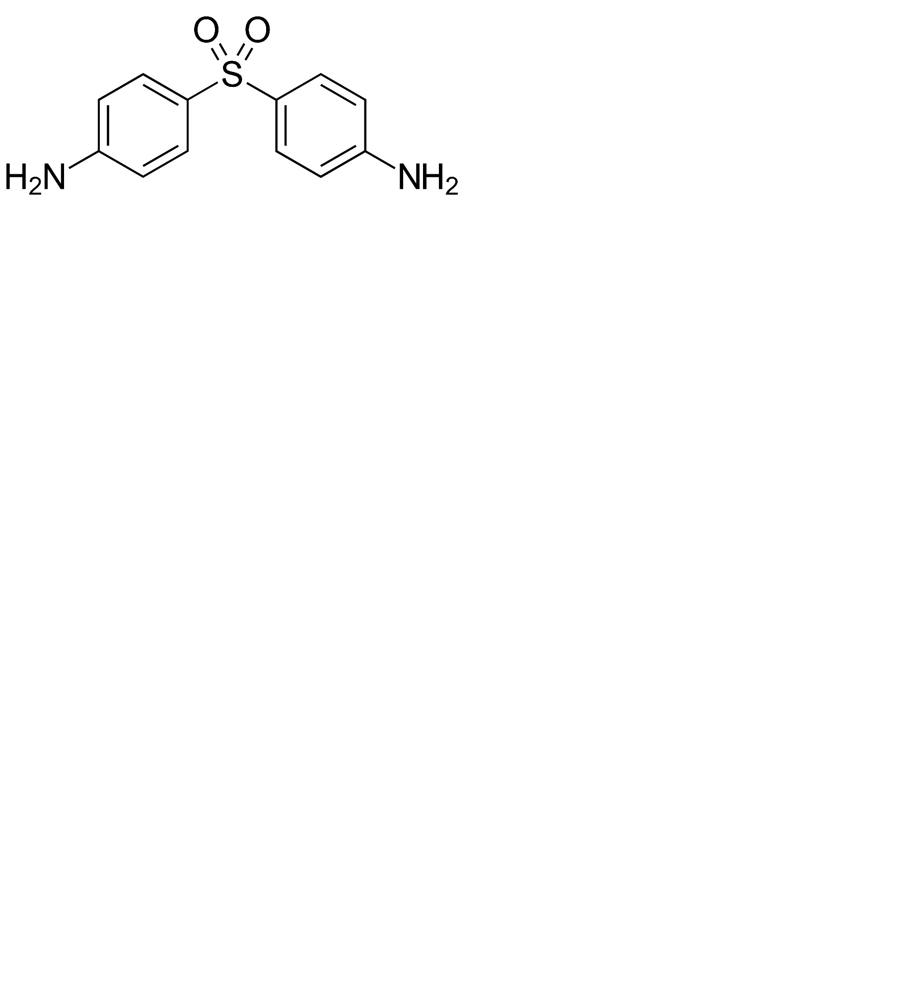
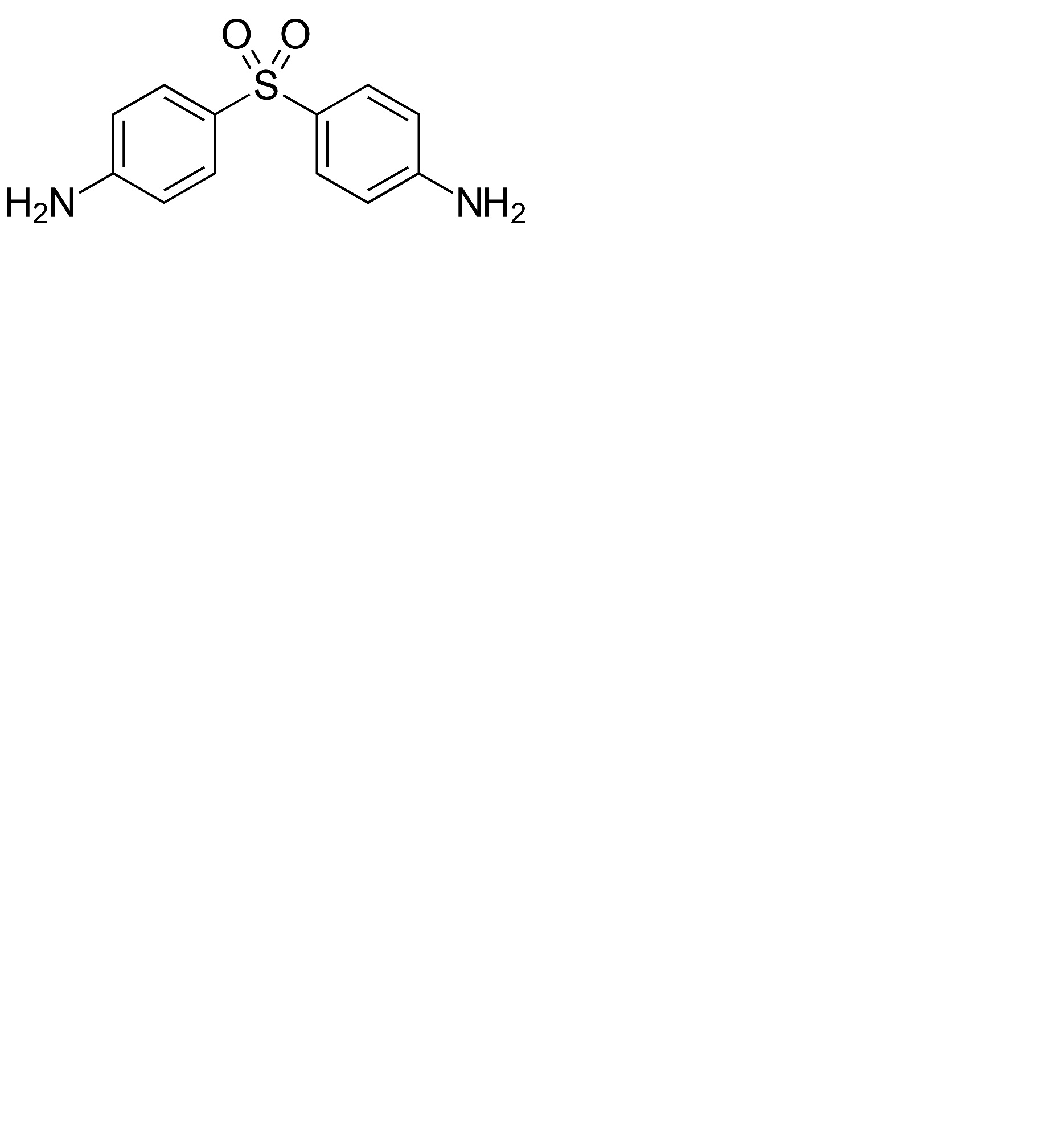
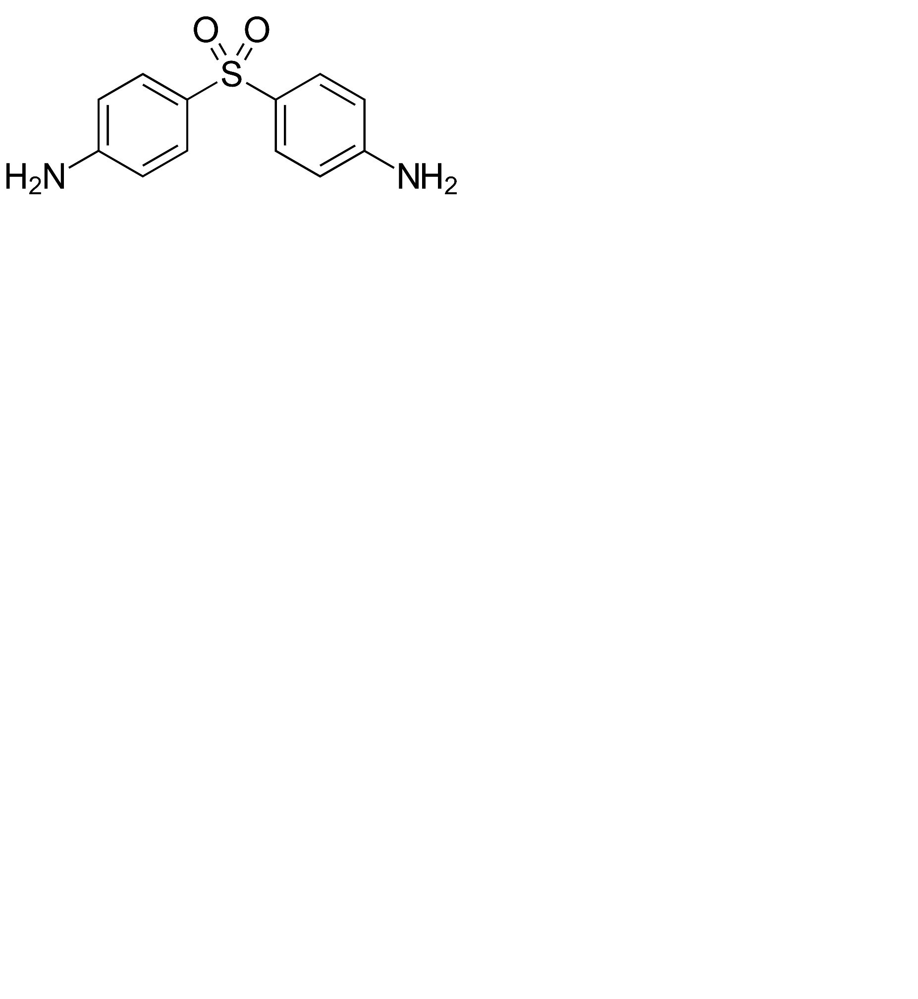
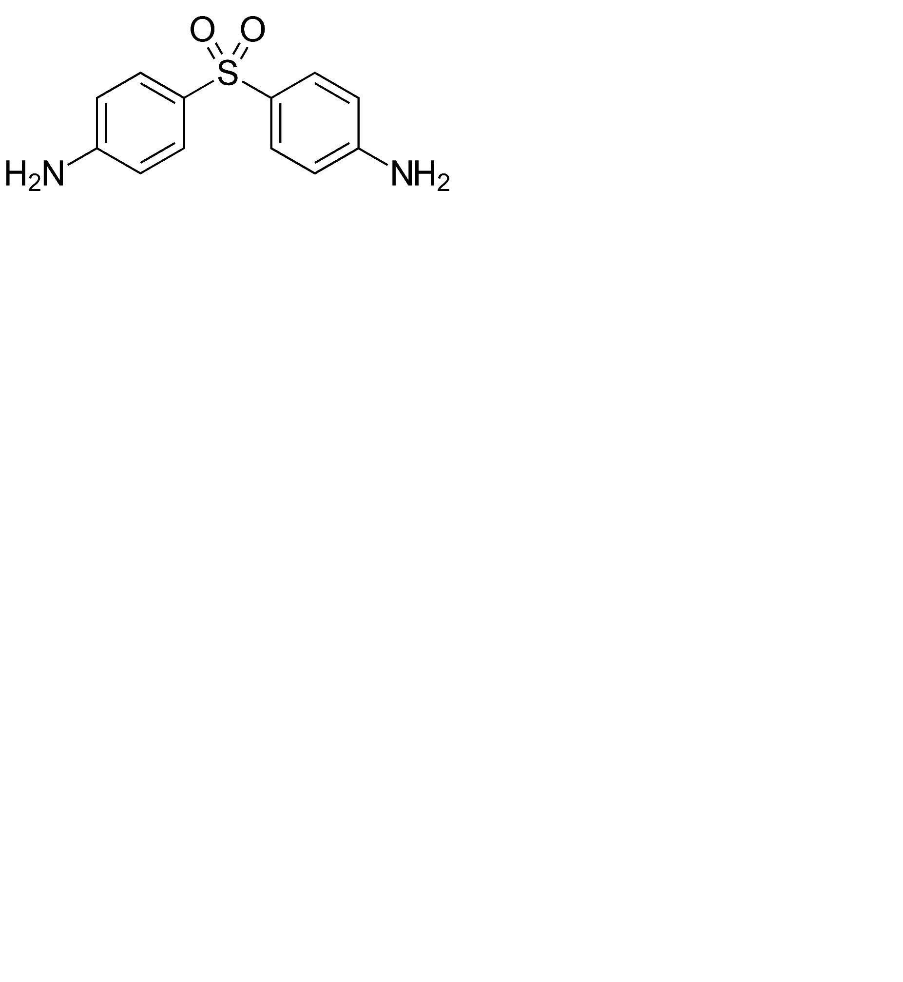
Dapsone
Kemijska struktura
Bibliografija : Dapsone
Vrsta
Publikacija
4879
Časopis
Marianni B, Mansourian M, Koulouridas S, Polonini H.
Compatibility of Active Pharmaceutical Ingredients in Cleoderm: A Comprehensive Study for Enhanced Topical Dermatological Treatments.
Int J Pharm Compound 2024 ;28,5:413-422
Mentions Légales