Utolsó frissítés :
18/03/2026
Antibiotikum   Dapsone  
kenőcs
belsőleges oldat
Stabilitása gyógyszerészeti készítmények A keverékek stabilitása Stabilitást befolyásoló tényezők Kompatibilitás Irodalom pdf
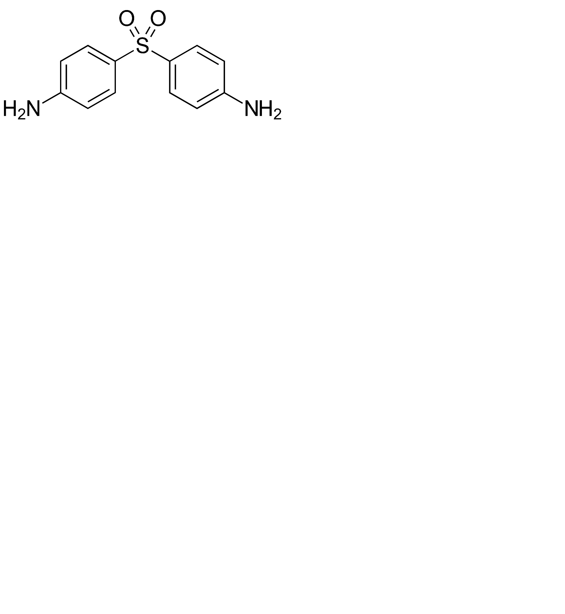
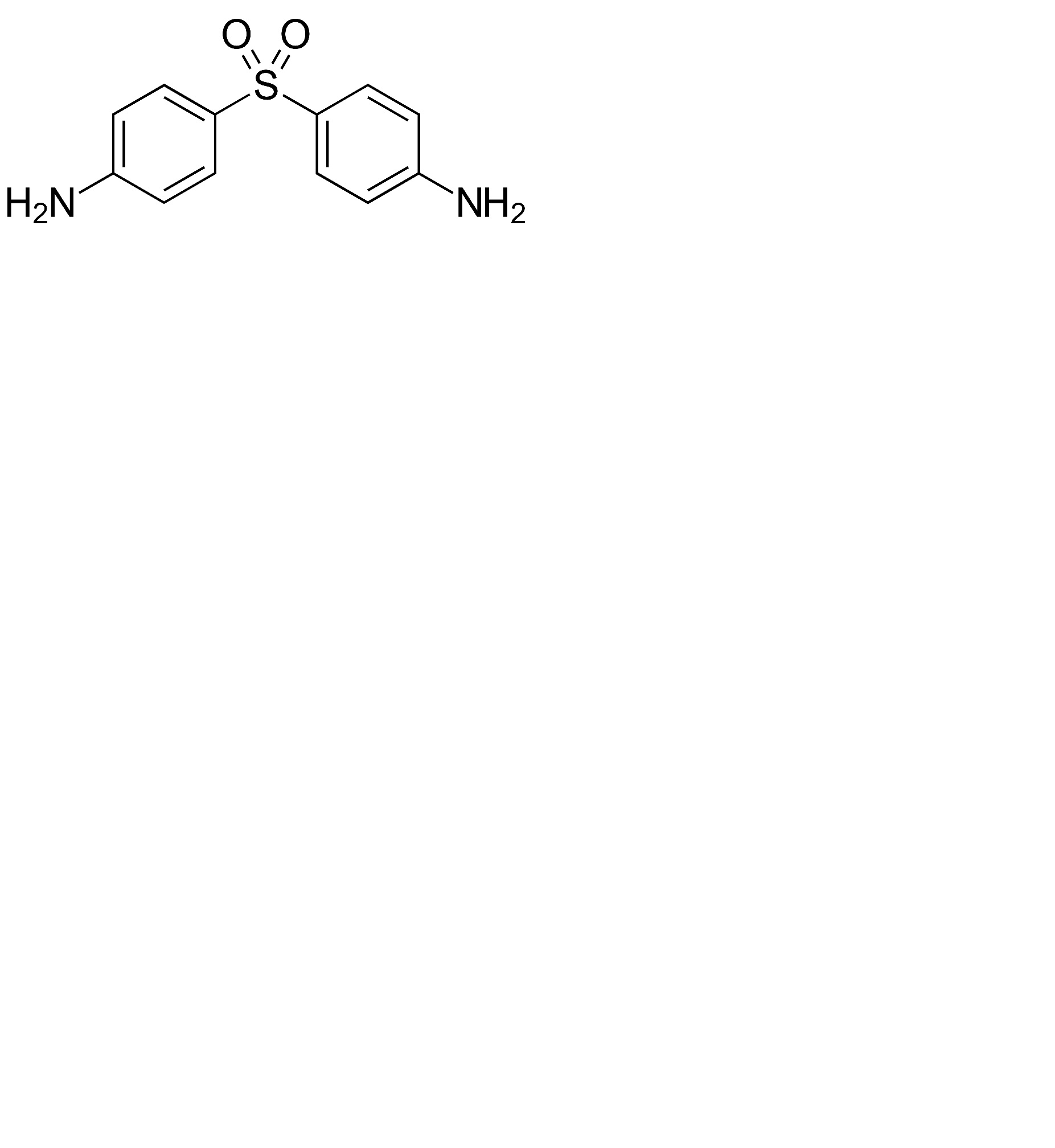
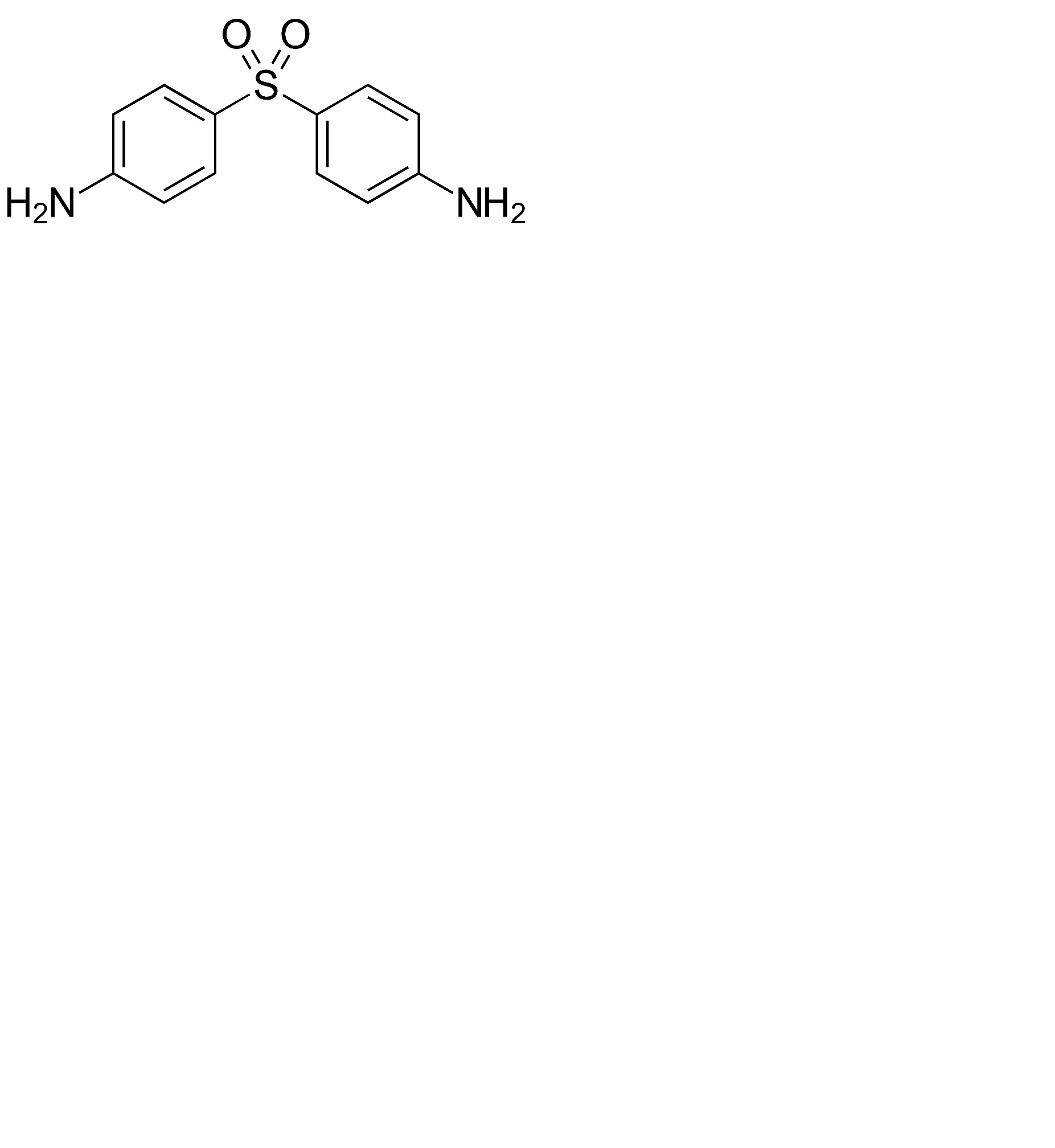
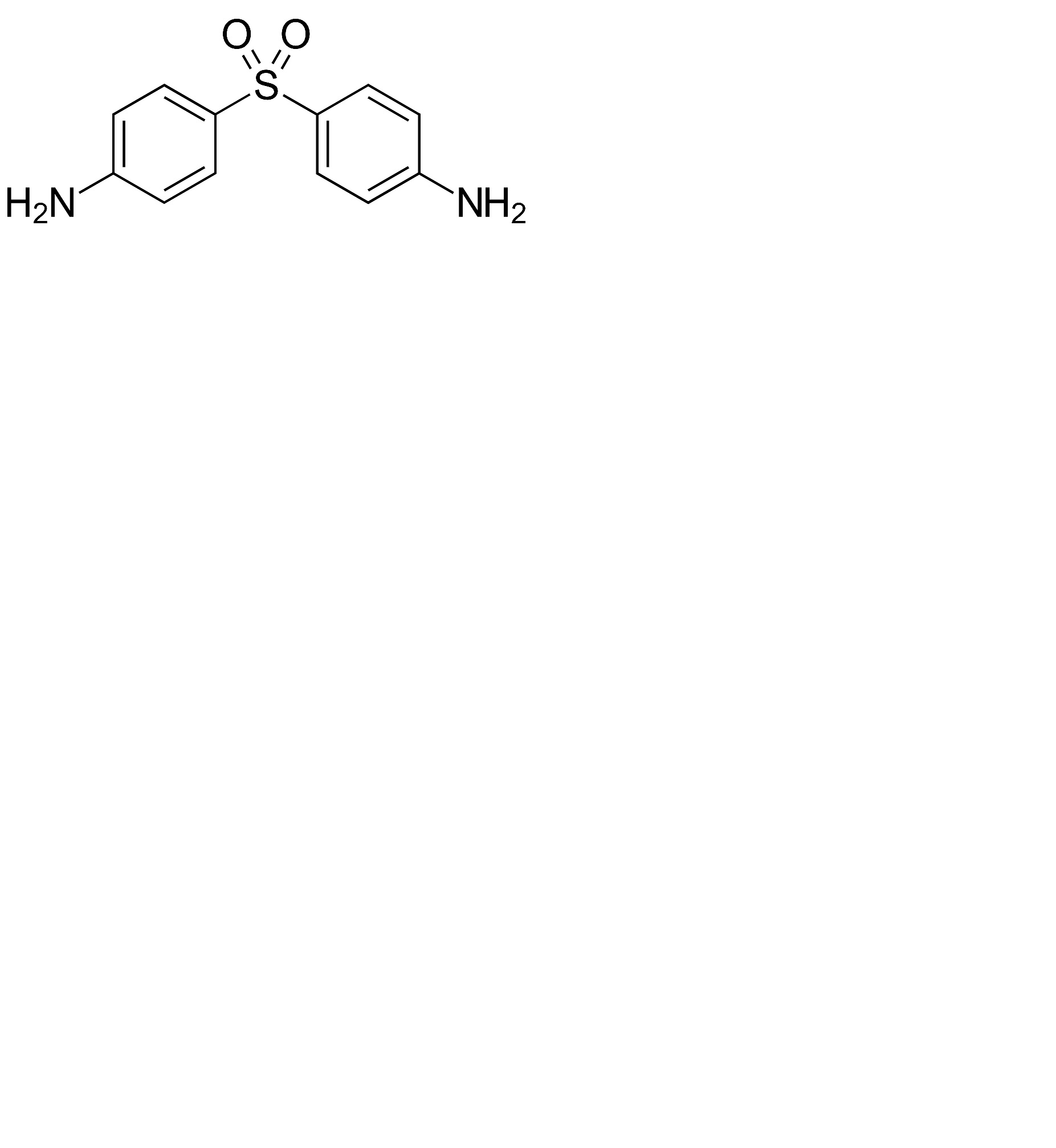
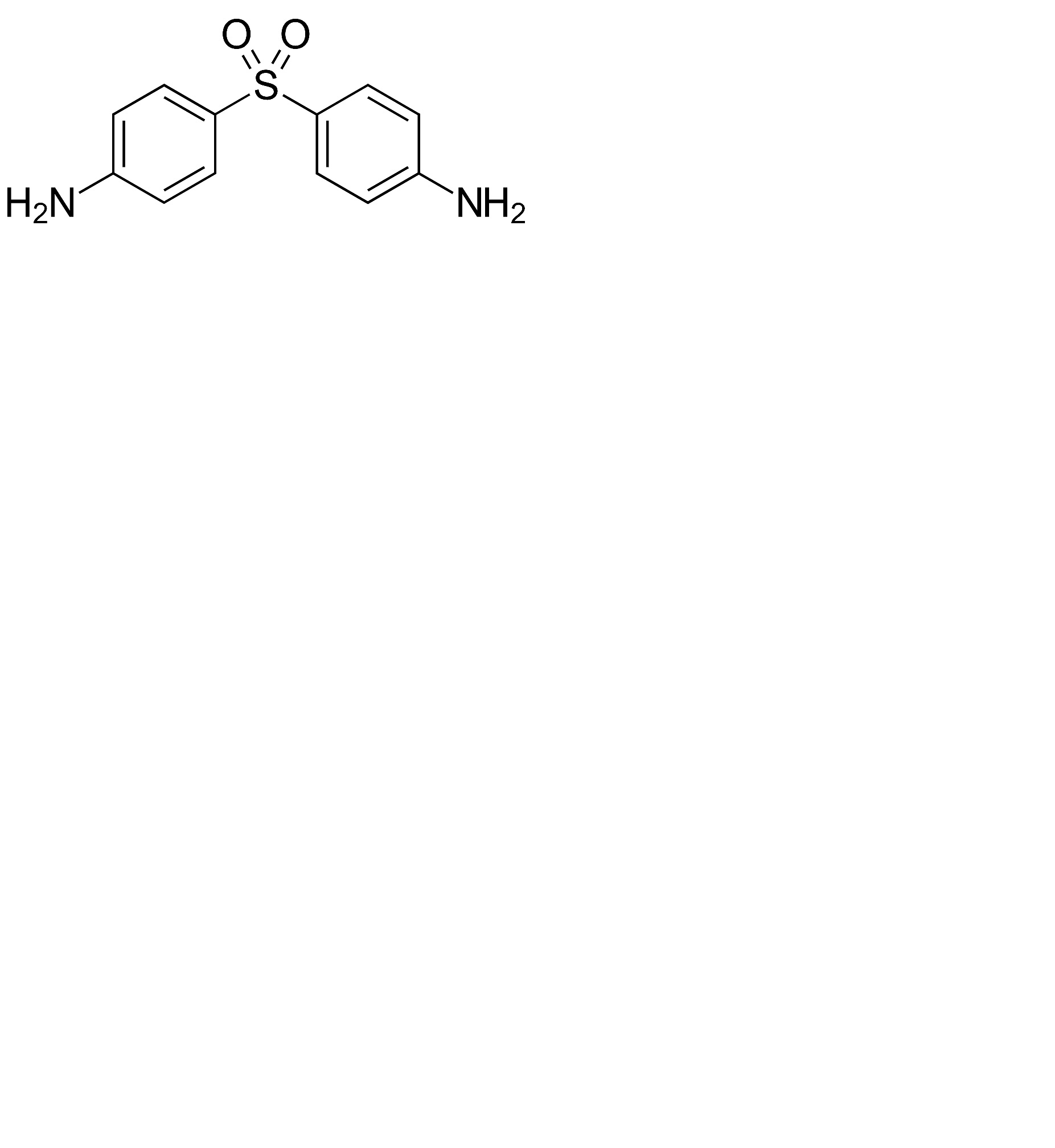
   Kémiai szerkezet   

kenőcs
Irodalom   kenőcs   Irodalom : Dapsone  
Type publikáció
4879 Napló Marianni B, Mansourian M, Koulouridas S, Polonini H.
Compatibility of Active Pharmaceutical Ingredients in Cleoderm: A Comprehensive Study for Enhanced Topical Dermatological Treatments.
Int J Pharm Compound 2024 ;28,5:413-422

  Mentions Légales