Son güncelleme :
31/03/2026
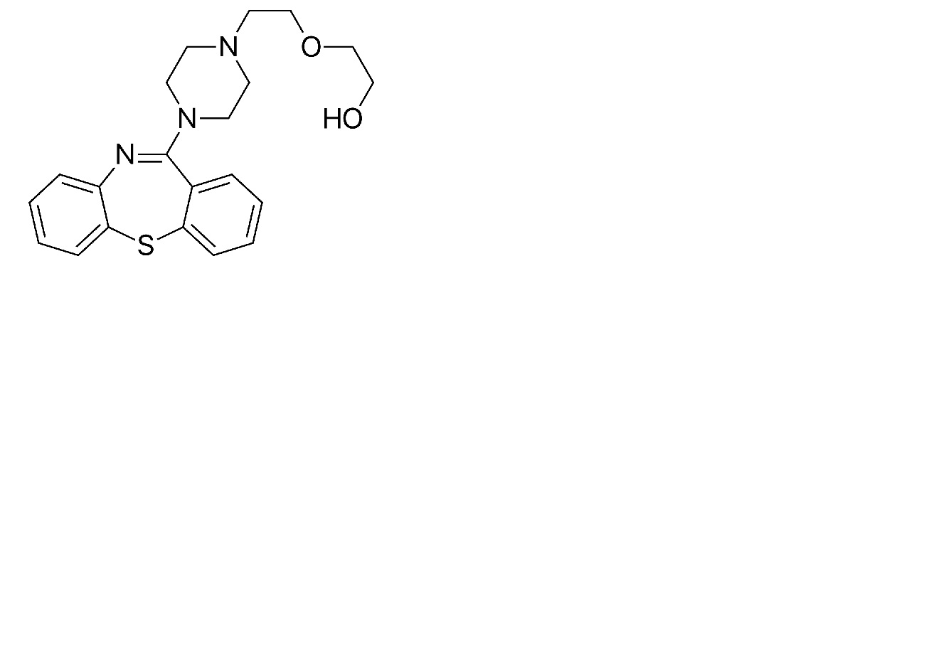
Çeşitli   Quetiapine fumarate  
Oral solüsyon / oral çözelti
Farmasötik preparatlar Kararlılığı Karışımlardaki stabilitesi Stabiliteyi etkileyen faktörler Uyumluluk Kaynaklar pdf
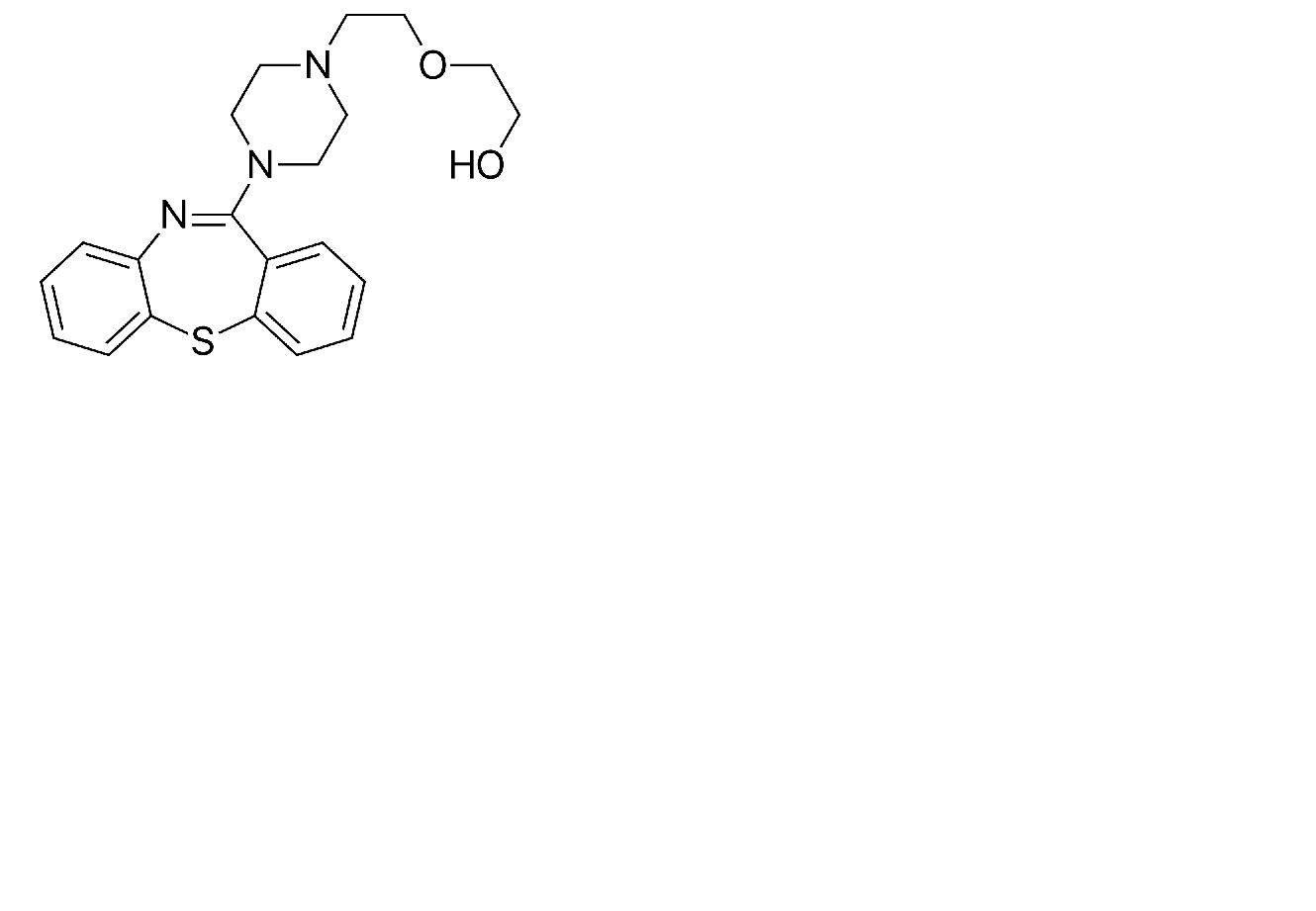
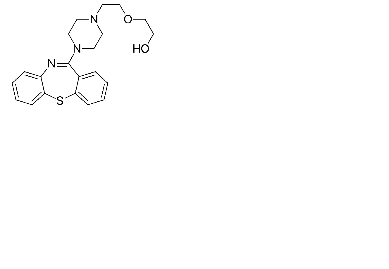
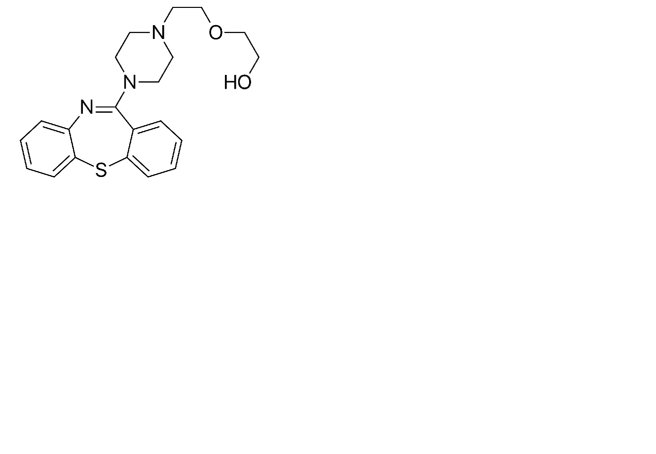
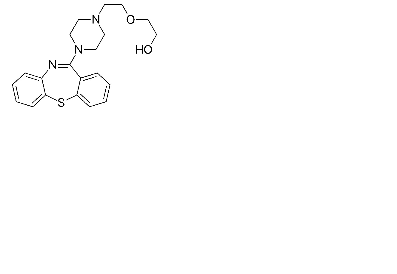
   Kimyasal yapı   

Oral solüsyon / oral çözelti
Uyumluluk   Oral solüsyon / oral çözelti   Uyumluluk : Quetiapine fumarate              
veri yok

  Mentions Légales