Последно актуализиране :
31/03/2026
Други   Quetiapine fumarate  
Орален разтвор
Стабилност на лекарствени препарати Стабилност на смеси Фактори, повлияващи стабилността Съвместимост Библиография Pdf
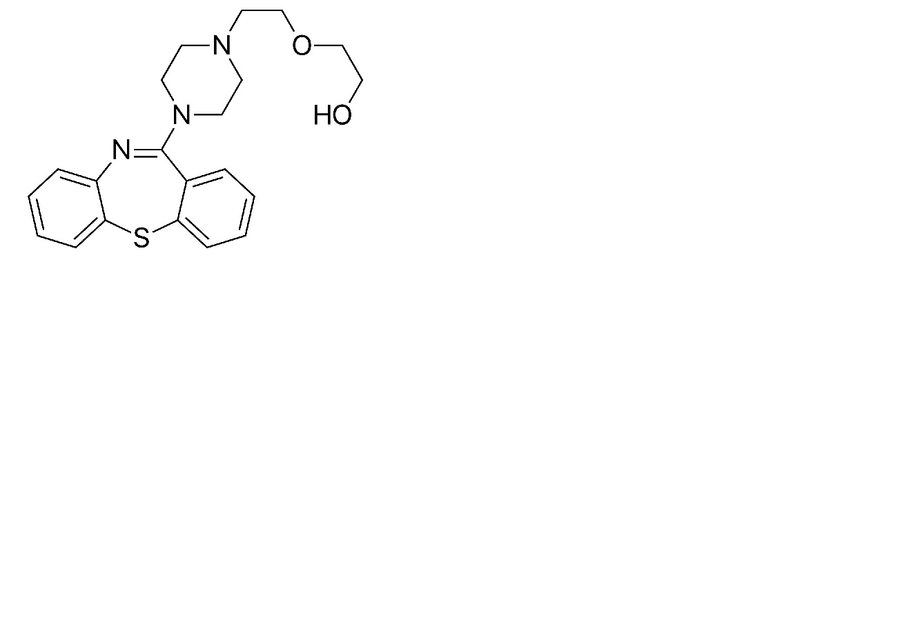
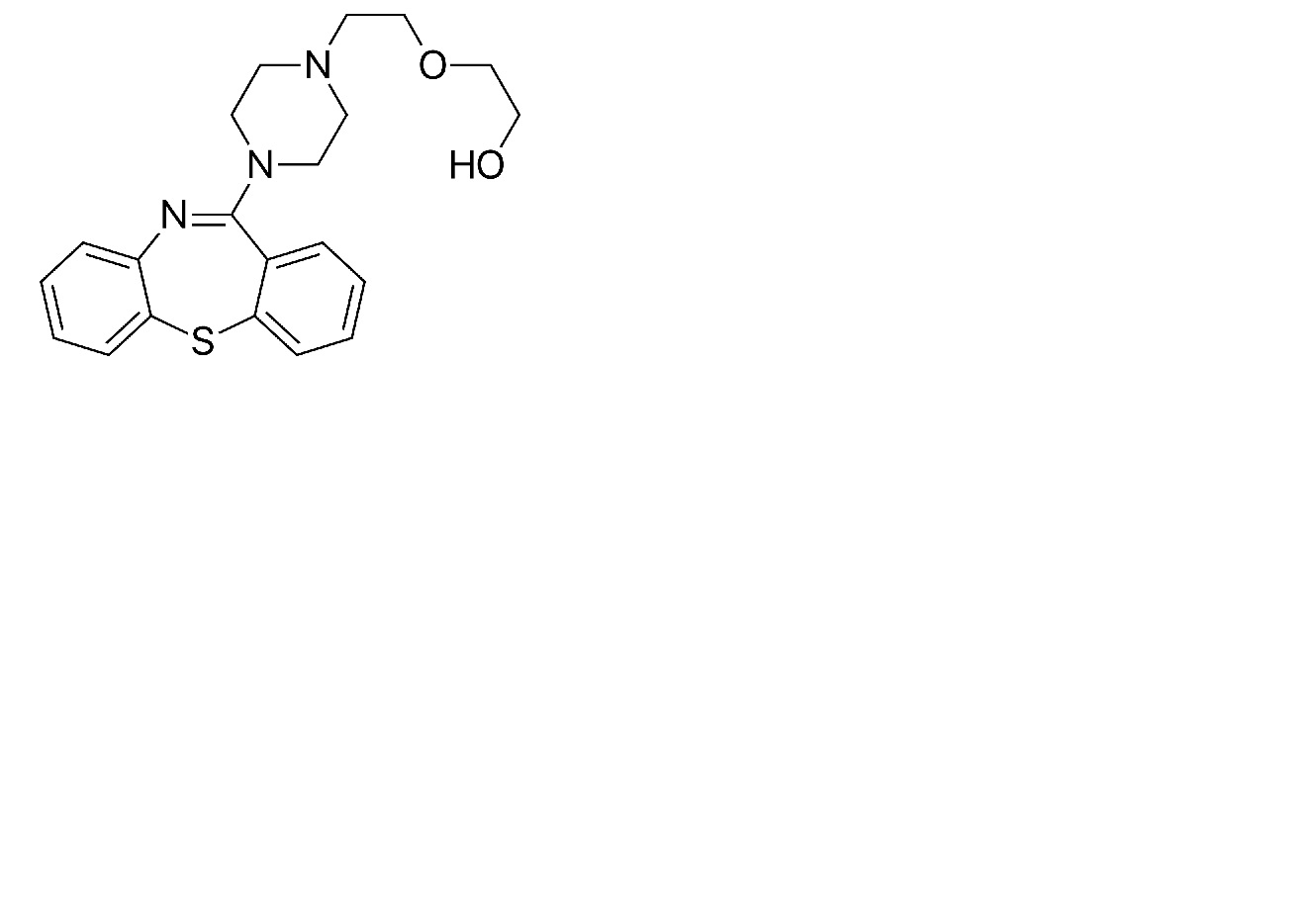
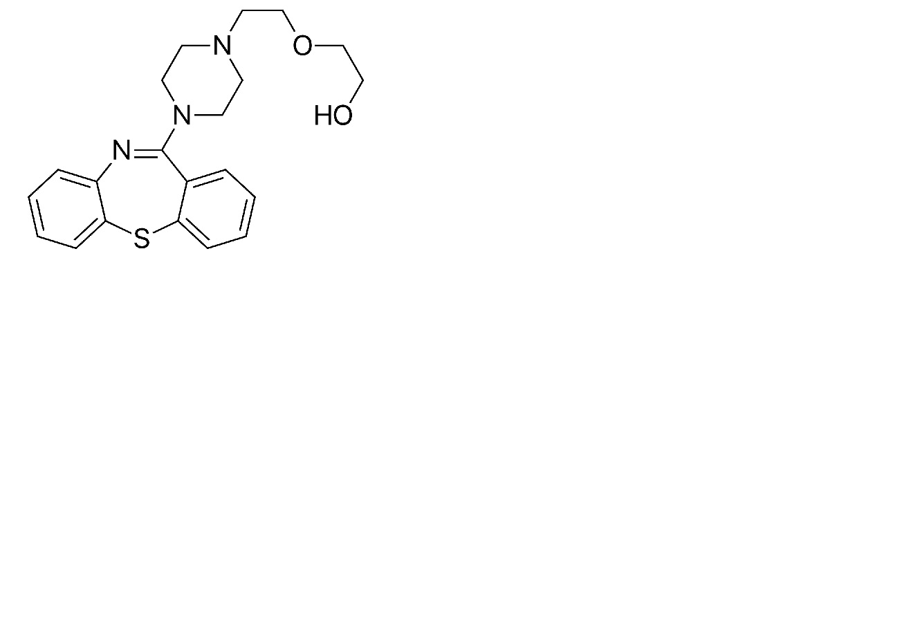
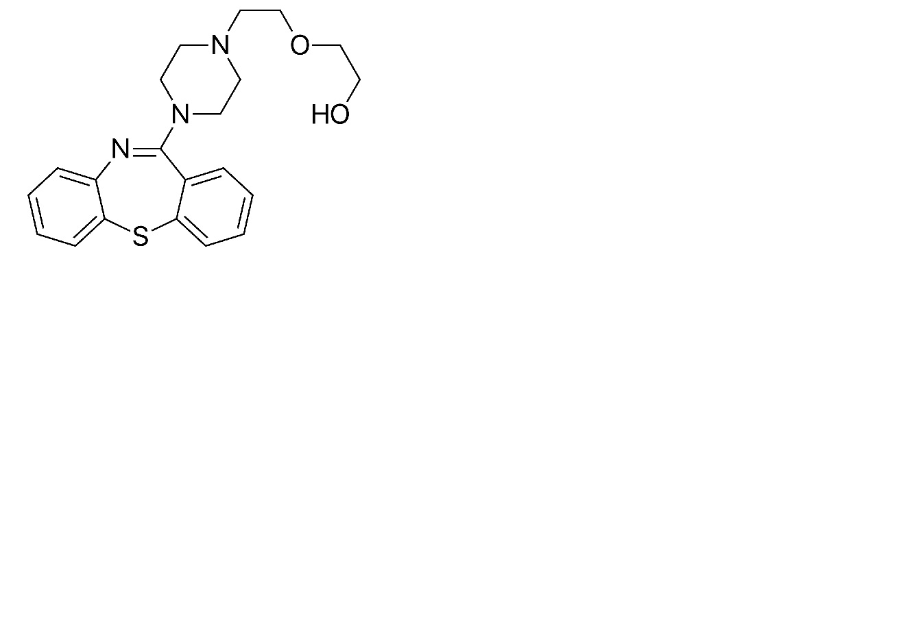
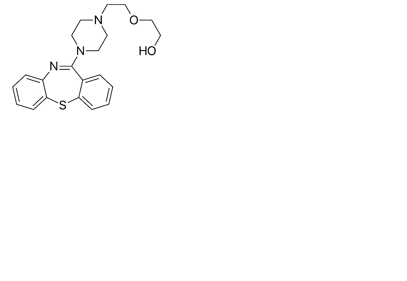
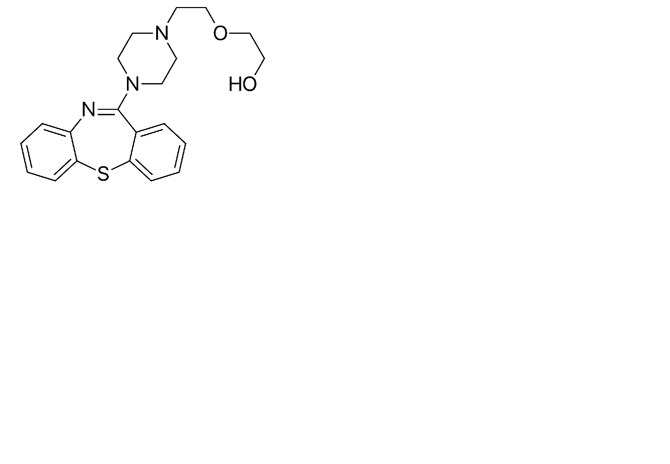
   Химична структура  

Орален разтвор
Съвместимост   Орален разтвор   Съвместимост : Quetiapine fumarate              
Няма данни

  Mentions Légales