Ultimo aggiornamento :
31/03/2026
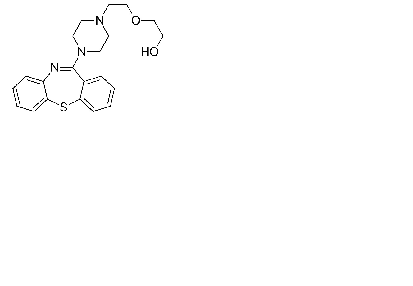
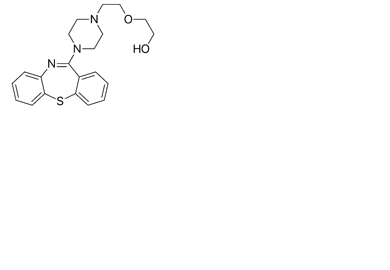
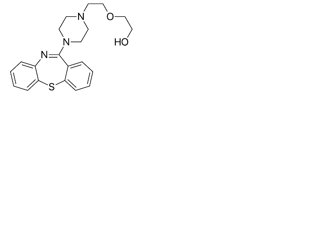
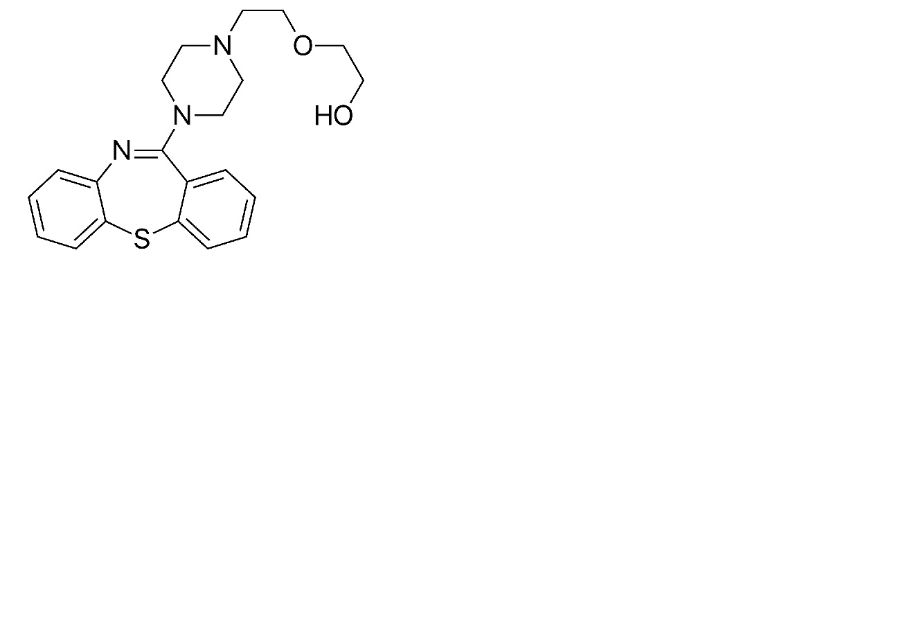
Altro   Quetiapine fumarate  
Soluzione orale
Stabilità dei preparati farmaceutici Stabilità in miscela Fattori che influenzano la stabilità Compatibilità Bibliografia pdf
   Struttura chimica  

Soluzione orale
Compatibilità   Soluzione orale   Compatibilità : Quetiapine fumarate              
Assenza di dati

  Mentions Légales