آخر تحديث :
31/03/2026
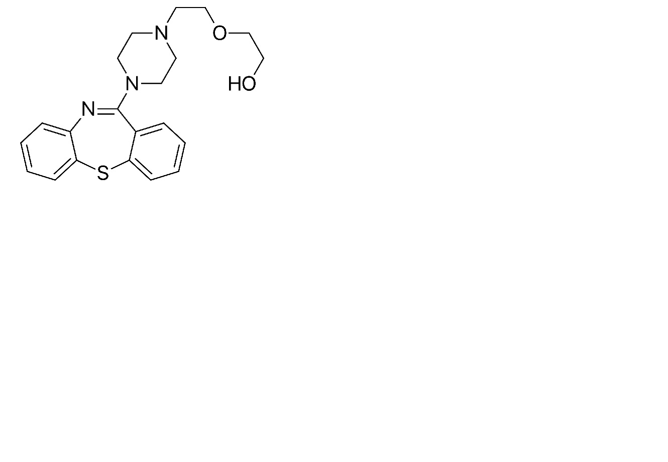
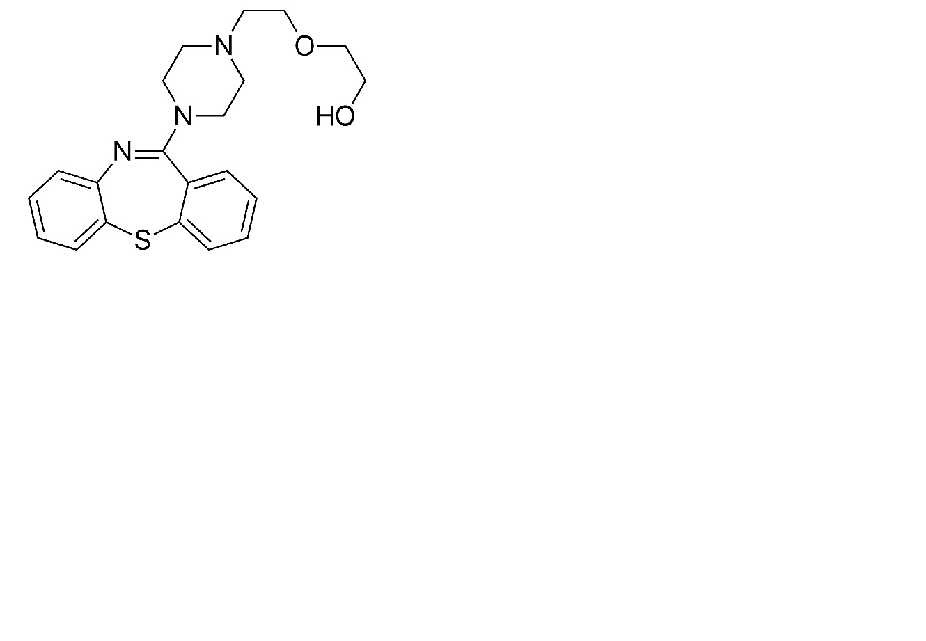
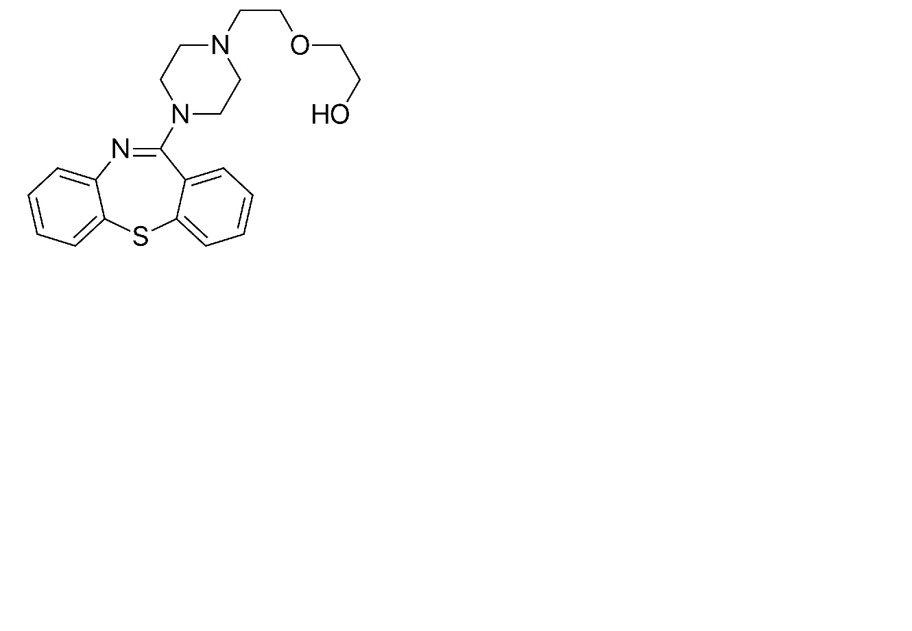
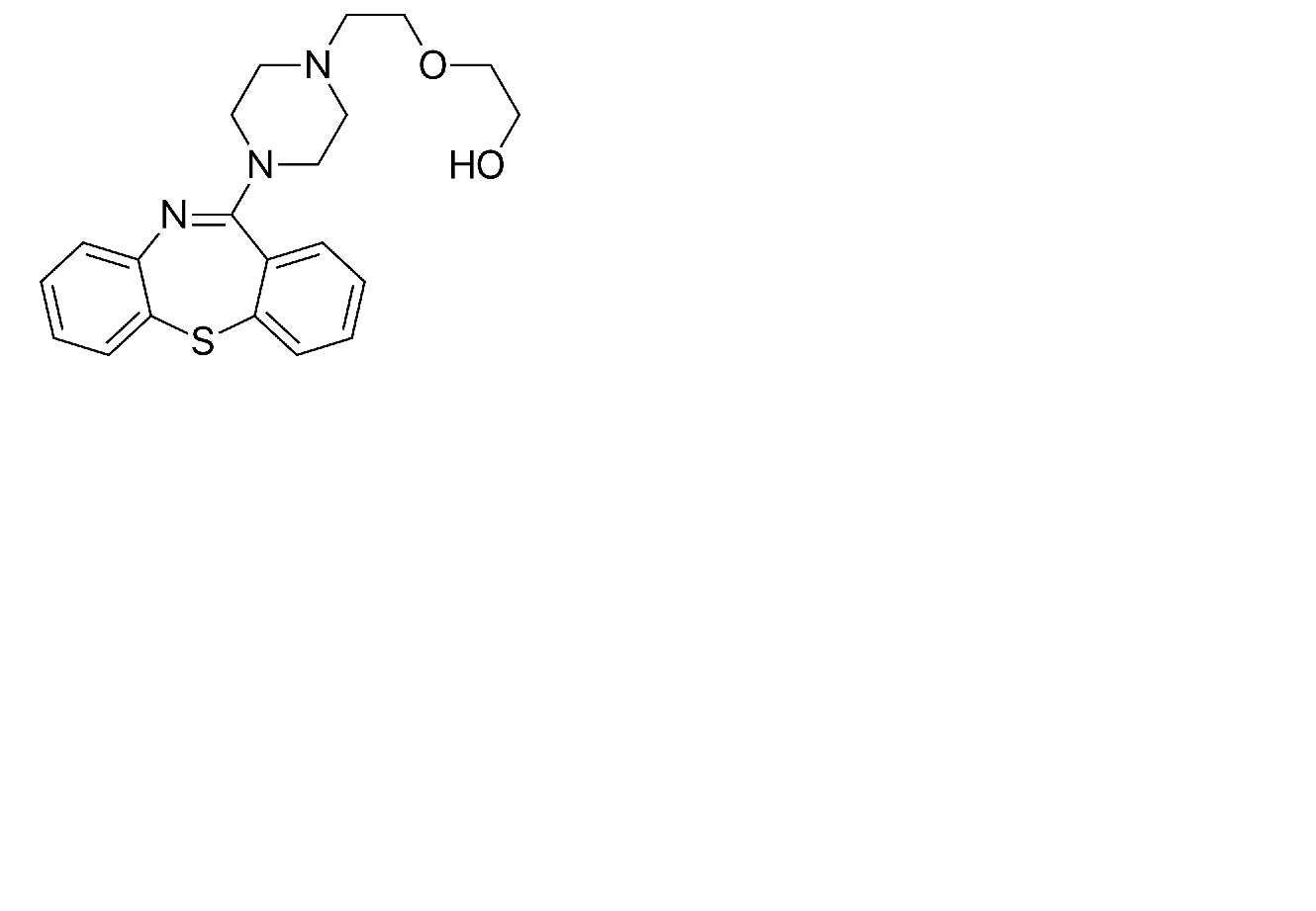
مختلف   Quetiapine fumarate  
عن طريق الفم
استقرار المستحضرات الصيدلانية استقرار مخاليط العوامل التي تؤثر على الاستقرار التوافق مراجع pdf
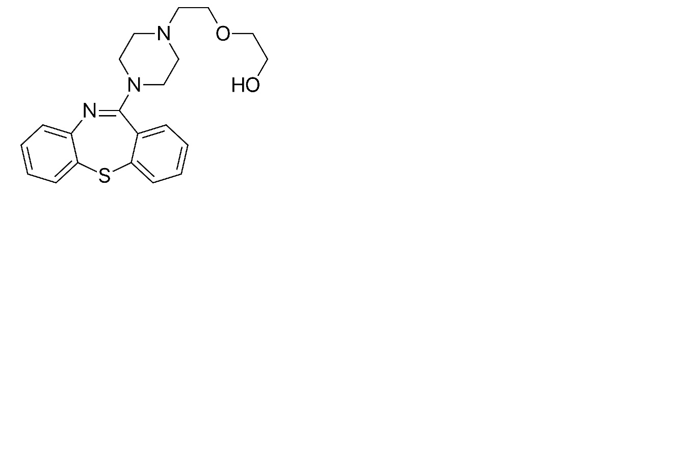
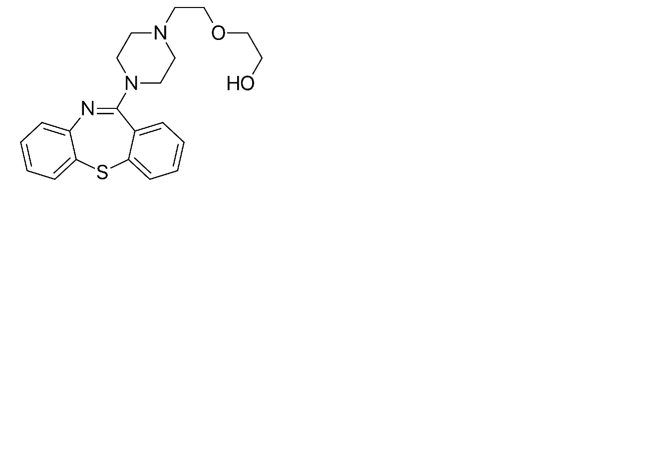
   التركيب الكيميائي  

عن طريق الفم
التوافق   عن طريق الفم     التوافق : Quetiapine fumarate              
لا توجد بيانات

  Mentions Légales