Posledná aktualizácia :
31/03/2026
rôzne   Quetiapine fumarate  
Perorálny roztok
Stabilita farmaceutických prípravkov Stabilita v zmesiach Faktory ovplyvňujúce stabilitu Kompatibility Odkazy na literatúru PDF
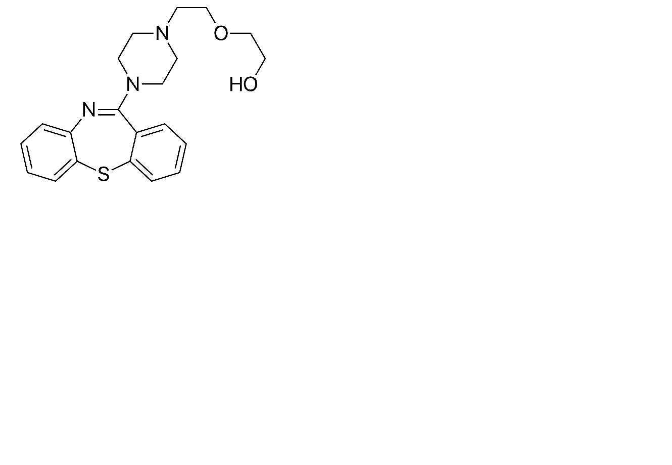
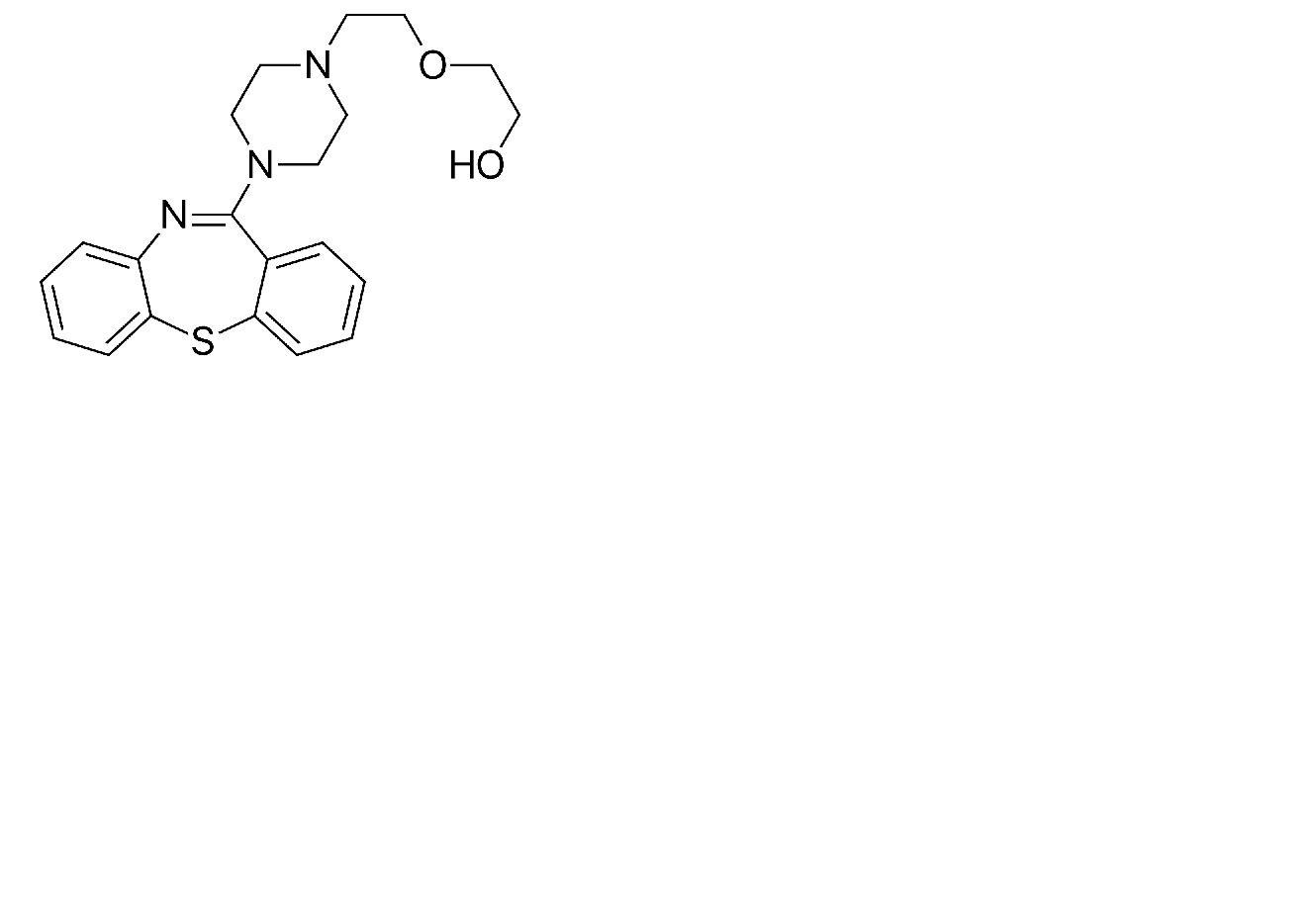
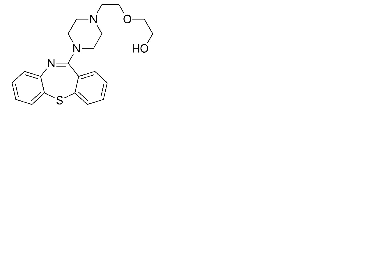
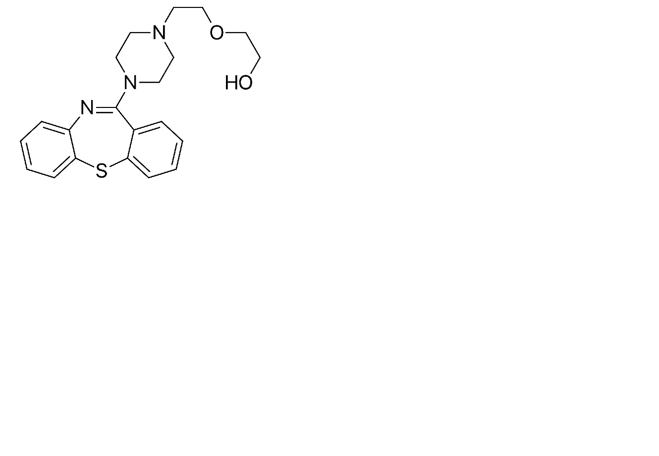
   Chemický vzorec  

Perorálny roztok
Kompatibility   Perorálny roztok   Kompatibility : Quetiapine fumarate              
žiadne údaje

  Mentions Légales