Zadnji put ažurirano :
31/03/2026
razno   Quetiapine fumarate  
oralna otopina
Stabilnost farmaceutskih pripravaka Stabilnost mješavine Stabilizacijski faktor Kompatibilnosti Bibliografija pdf
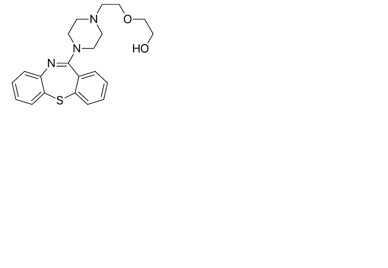
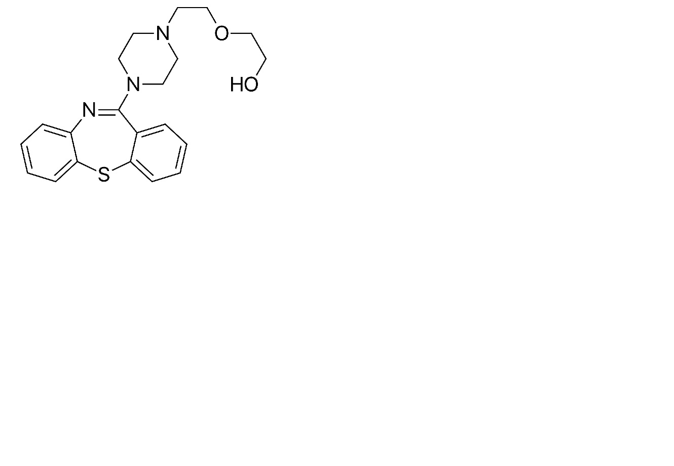
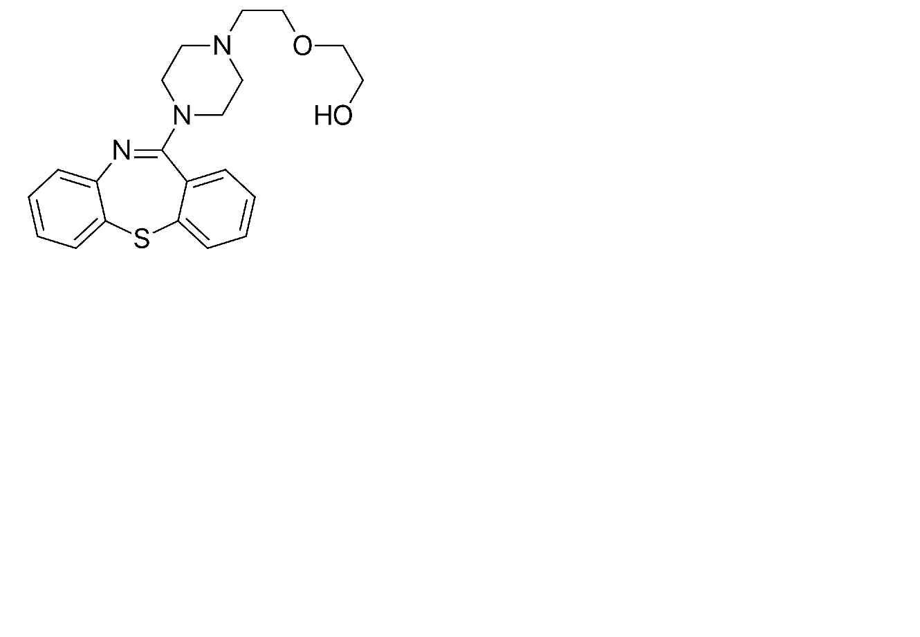
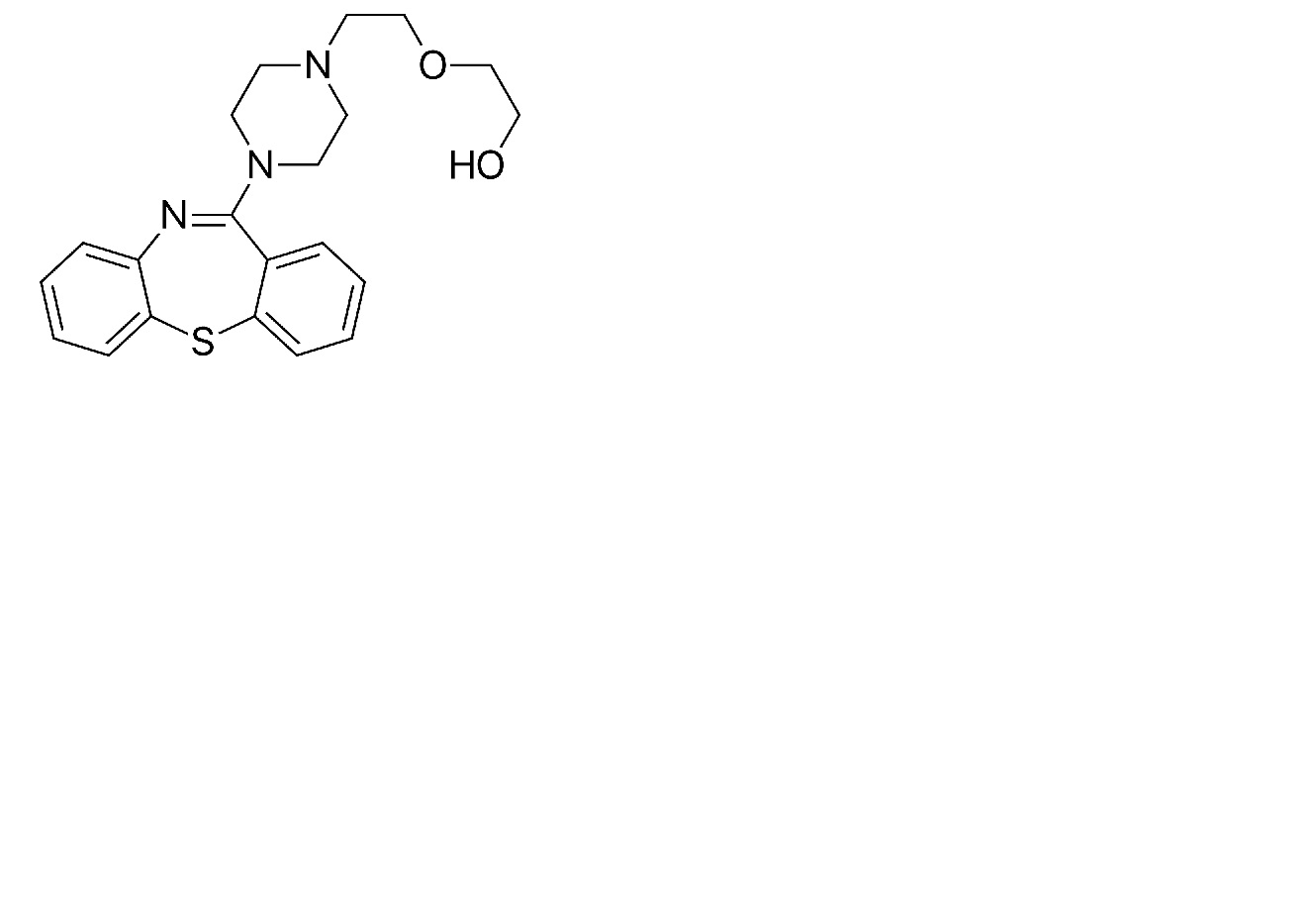
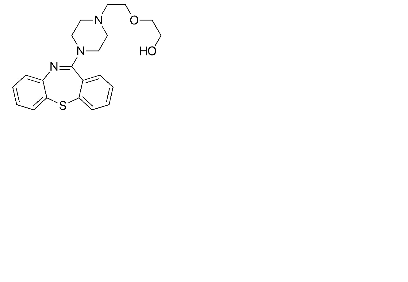
   Kemijska struktura  

oralna otopina
Kompatibilnosti   oralna otopina     Kompatibilnosti : Quetiapine fumarate              
bez podataka

  Mentions Légales