Ostatnia aktualizacja :
31/03/2026
Różne   Quetiapine fumarate  
Roztwór doustny
Stabilność preparatów farmaceutycznych Trwałość w mieszaninie Czynnik wpływający na trwałość Zgodność Bibliografia pdf
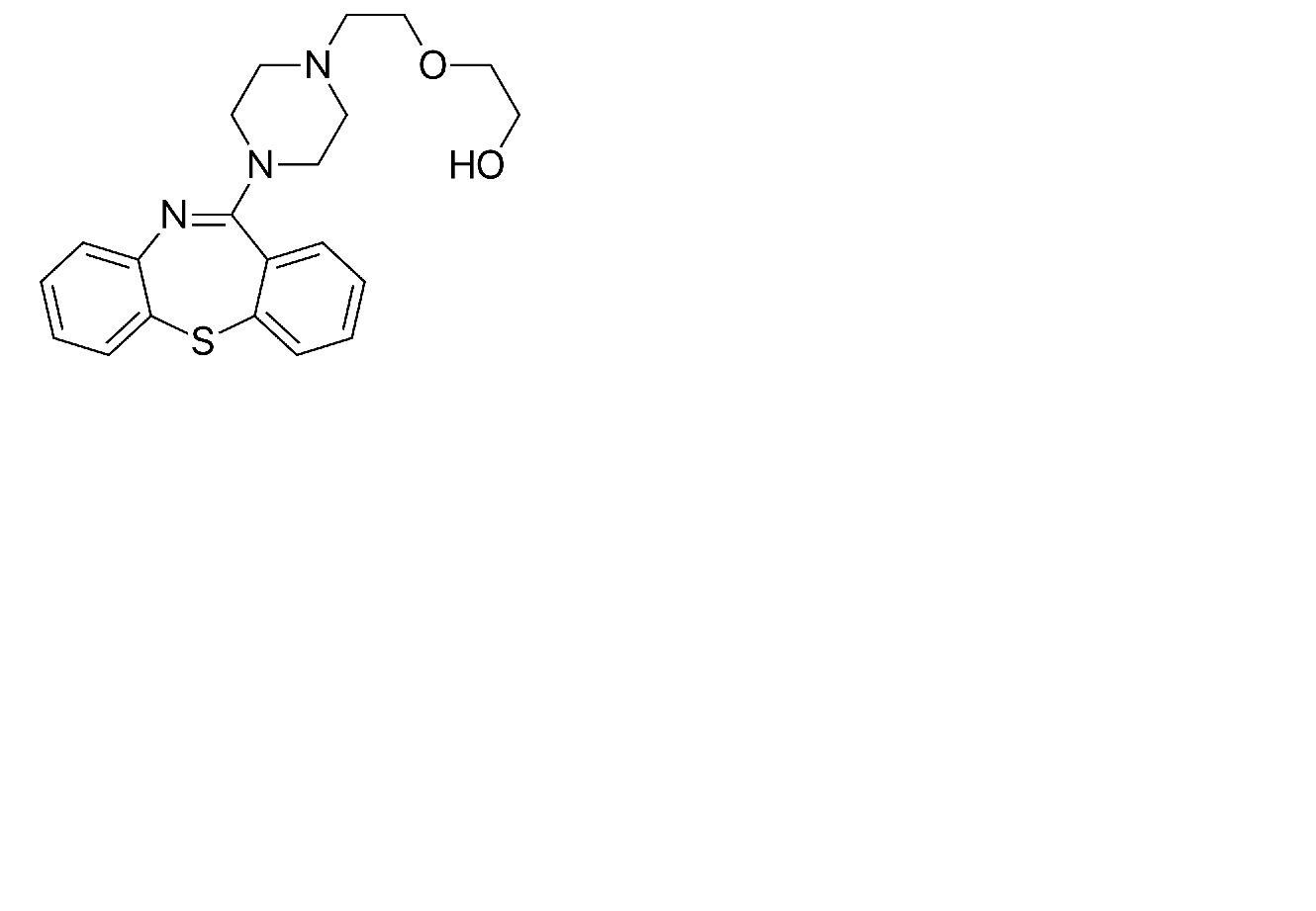
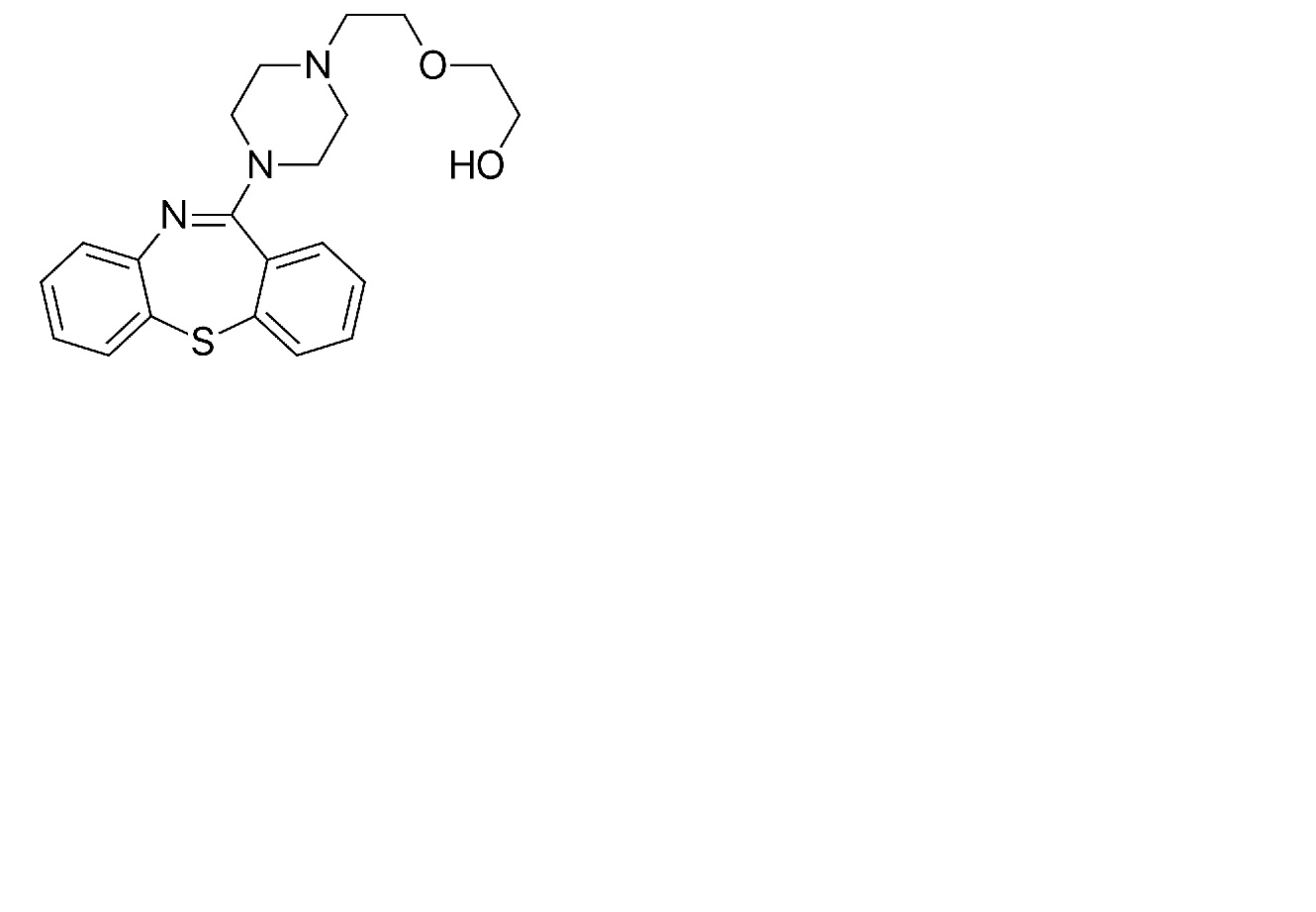
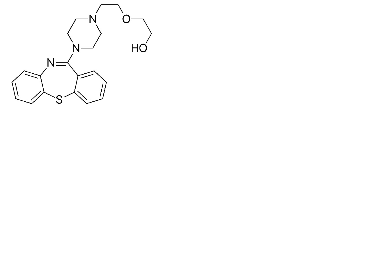
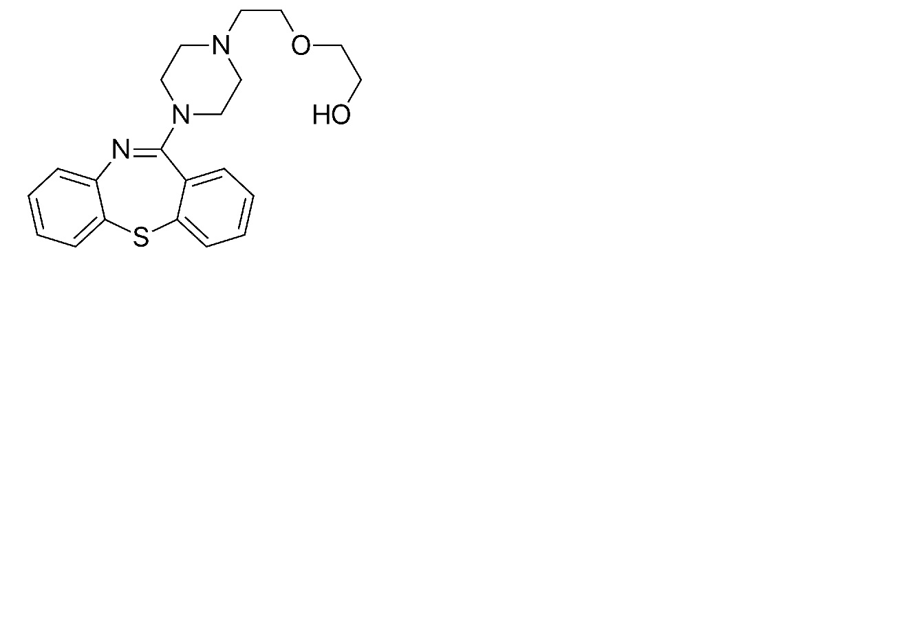
   Struktura chemiczna  

Roztwór doustny
Zgodność   Roztwór doustny   Zgodność : Quetiapine fumarate              
Brak danych

  Mentions Légales