Poslední aktualizace :
18/03/2026
Infostab
Seznamy
Seznamy shrnutí
Hledat kompatibility
Tabulka kompatibility správy Y
Odkazy
výzkumné týmy
valistab
plakát
Připojení
sponzoři
Autor
Uživatelská příručka
Newsletter
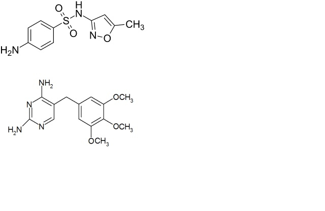
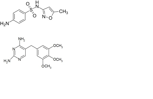
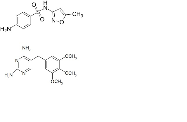
Co-trimoxazole
Chemický vzorec
Stabilita farmaceutických přípravků : Co-trimoxazole
2000/400 mg
® = ?
Oral Mix®
>> 50 mL
25°C
14
4638
2000/400 mg
® = ?
Oral Mix SF®
>> 50 mL
25°C
14
4638
2000/400 mg
® = ?
Oral Mix®
>> 50 mL
5°C
90
4638
2000/400 mg
® = ?
Oral Mix SF®
>> 50 mL
5°C
14
4638
100/20 mg
® = ?
Oral Mix®
>> 2,5 mL
25°C
14
4638
100/20 mg
® = ?
Oral Mix SF®
>> 2,5 mL
25°C
7
4638
100/20 mg
® = ?
Oral Mix®
>> 2,5 mL
5°C
90
4638
100/20 mg
® = ?
Oral Mix SF®
>> 2,5 mL
5°C
90
4638
Mentions Légales